Asintoti obliqui

Una retta di equazione y=mx+q è detta asintoto obliquo per la funzione f(x) per x che tende a più o meno infinito se si verifica:


Se questa condizione si verifica solo per x che tende a più infinito o per x che tende a meno infinito si dice rispettivamente che la retta y=mx+q è un asintoto obliquo destro o un asintoto obliquo sinistro.

La definizione di asintoto obliquo equivale alla condizione che la distanza tra il punto P e il punto Q (il primo preso sul grafico di f(x) e il secondo sulla retta y=mx+q avente la stessa ascissa di P) tenda a zero quando x tende a più infinito o a meno infinito.


Per calcolare l'eventuale asintoto obliquo di una funzione è necessario che si verificano tre condizioni:

  • Prima condizione: esistenza del limite infinito.

    Se questa condizione non risulta verificata, abbiamo già la certezza che la funzione non ha un asintoto obliquo, se invece esiste si passa alla condizione successiva.

  • Seconda condizione: esistenza del coefficiente angolarare m.

    Se questo limite non esiste oppure è infinito o nullo la funzione non ha un asintoto obliquo, se invece esiste ed è un numero reale diverso da zero si passa alla successiva condizione.

  • Terza condizione: esistenza del termine noto q.

    Se questo limite non esiste oppure è infinito, la funzione non ha un asintoto obliquo, se invece esiste, finito allora la funzione ha un asintoto obliquo di equazione y=mx+q.

Il grafico di una funzione può avere al più solo due asintoti obliqui diversi uno a +∞ e uno a -∞ e la stessa retta può essere contemporaneamente asintoto obliquo destro e sinistro inoltre, un asintoto obliquo può essere intersecato, (anche più volte) dal grafico della funzione e per determinare le eventuali intersezioni bisogna risolvere il sistema tra l'equazione della funzione e l'equazione dell'asintoto obliquo. Vediamo alcuni esempi:

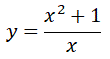
  • Esempio 1: Trovare gli eventuali asintoti obliqui della funzione

    E' immediato costatare che il limite della funzione per x che tende a infinito è infinito e quindi proviamo a verificare l'esistenza del coefficiente angolare m:


    Essendo m=1 un numero reale diverso da zero possiamo provare a verificare l'esistenza del termine noto q:


    Essendo q=0 un numero finito possiamo concludere che la retta y=x è un asintoto obliquo destro della funzione. Ora, se determiniamo m e q mediante il limite della funzione per x che tende a meno infinito otteniamo ancora m=1 e q=0 per cui la retta y=x è anche un asintoto obliquo sinistro come si vede dal grafico.


  • Esempio 2: Trovare gli eventuali asintoti obliqui della funzione

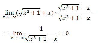
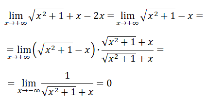
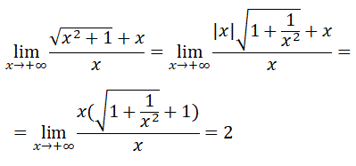
    E' immediato vedere che il limite della funzione per x che tende a più infinito è infinito mentre il limite della funzione per x che tende a meno infinito si presenta nella forma indeterminata ∞-∞ e razionalizzando si ottiene:

    Essendo quest'ultimo limite finito la funzione ammette un asintoto orizzontale sinistro di equazione y=0. Vediamo se la funzione ammette un asintoto obliquo destro verificando l'esistenza del coefficiente angolare m:


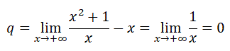
    Essendo m=2 un numero reale diverso da zero possiamo provare a verificare l'esistenza del termine noto q:


    Essendo q=0 un numero finito possiamo concludere che la retta y=2x è un asintoto obliquo destro della funzione come si vede dal grafico.


    La presenza dell'asintoto orizzontale esclude l'asintoto obliquo. Esistono però funzioni, come quella dell'esempio 2, che ammettono l'asintoto orizzontale a -∞ e l'asintoto obliquo a +∞ (e viceversa).

© giuseppe sarnataro