Equazioni risolubili con la scomposizione in fattori

Quando un'equazione non è biquadratica o trinomia come ad esempio l'equazione di terzo grado

x3 + 3x2 -5x + 1 = 0

possiamo tentare di risolverla scomponendo il polinomio che figura al primo membro in un prodotto di due o più fattori di primo o di secondo grado. Nel nostro caso essendo l'equazione di terzo grado possiamo cercare di scomporre il polinomio nel prodotto di tre fattori di primo grado oppure nel prodotto di un fattore di primo grado per un fattore di secondo grado. Poichè nel polinomio al primo membro la somma dei coefficienti e del termine noto è uguale a zero, il polinomio si annulla per x = 1.

p(1) = 13 + 3 ⋅ 12 -5 ⋅ 12 + 1 = 0

Ne segue che p(x) è divisibile per x-1. Utilizzando la regola di Ruffini si trova

p(x) = (x - 1)(x2 + 4x - 1)

Pertanto il primo membro dell'equazione iniziale può essere scritto come prodotto dei due fattori:

(x - 1)(x2 + 4x - 1) = 0

e per la legge di annullamento del prodotto le radici dell'equazione iniziale, sono dunque quei valori che annullano il primo o il secondo fattore. Il primo fattore si annulla per x=1, il secondo si annulla quando

(x2 + 4x - 1) = 0

cioè per

x = -2 + √5 e x = -2 -√5

Vediamo due esempi:

  • Esempio 1: Risolvere l'equazione:

    6x3 - 7x2 - x + 2 = 0

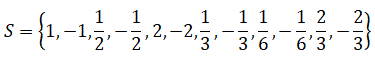
    Cerchiamo di scomporre il polinomio applicando la regola di Ruffini. Per non procedere per tentativi sappiamo che le eventuali radici del polinomio vanno ricercate tra i divisori positivi e negativi del termine noto e tra le frazioni che hanno per numeratore i divisori del termine noto e per denominatore i divisori del coefficiente dell'incognita di massimo grado. Per cui l'insieme delle possibili radici è:


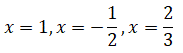
    Ora, applicando la regola di Ruffini possiamo conoscere le radici del polinomio che sono:


    Pertanto il primo membro dell'equazione iniziale può essere scritto come prodotto dei tre fattori:


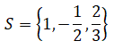
    e per la legge di annullamento del prodotto le radici dell'equazione iniziale sono:


  • Esempio 2: Risolvere l'equazione:

    x4 - 6x3 + 7x2 + 8x - 6 = 0

    Si può verificare che -1 è radice dell'equazione (-1 è divisore di -6). Si ha pertanto, applicando la regola di Ruffini:

    x4 - 6x3 + 7x2 + 8x - 6 = (x + 1)(x3 - 7x2 + 14x -6)

    Inoltre, si può verificare che 3 è radice dell'equazione

    x3 - 7x2 + 14x - 6 = 0

    Applicando la regola di Ruffini si ha:

    x3 - 7x2 + 14x -6 = (x - 3)(x2 - 4x + 2)

    Ora, le radici dell'equazione di secondo grado

    x2 - 4x + 2 = 0

    sono:


    Le soluzioni dell'equazione iniziale sono quindi:


© giuseppe sarnataro