Applicazione dei sistemi di disequazioni

Disequazioni costituite da più fattori lineari oppure disequazioni lineari fratte possono essere riscritte sotto forma di sistemi di disequazioni lineari; vediamo alcuni esempi.

  • Esempio 1: Risolviamo la disequazione:

    (x - 3)(3x + 1) > 0

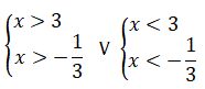
    Poichè il prodotto di due fattori è positivo se e solo se i due fattori hanno lo stesso segno la nostra disequazione è equivalente all'unione dei due sistemi:

    Nel primo sistema le due disequazioni sono poste entrambe positive nel secondo sistema sono poste entrambe negative. Risolvendo i due sistemi si ottiene:

    Il primo sistema è verificato per ogni valore reale di x maggiore di 3, mentre il secondo sistema è verificato per ogni valore reale di x minore di -1/3. L'unione dei due sistemi è quindi verificata per:

  • Esempio 2: Risolviamo la disequazione:

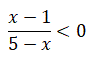
    Poichè il quoziente tra il numeratore e il denominatore è negativo se e solo se i due termini della frazione hanno segni opposti la nostra disequazione è equivalente all'unione dei due sistemi:

    Nel primo sistema la prima disequazione è posta positiva e la seconda negativa, nel secondo sistema la prima disequazione è posta negativa e la seconda disequazione è posta positiva. Risolvendo i due sistemi si ottiene:

    Il primo sistema è verificato per ogni valore reale di x maggiore di 5, mentre il secondo sistema è verificato per ogni valore reale di x minore di 1. L'unione dei due sistemi è quindi verificata per:

    x < 1 ∨ x > 5

© giuseppe sarnataro