Disequazioni fratte

Una disequazione è detta fratta o frazionaria quando contiene l'incognita in almeno un denominatore. Le disequazioni fratte che analizzeremo sono sempre riconducibili a una delle quattro forme normali:

dove P(x) e Q(x) sono polinomi di primo grado nella variabile x o polinomi scomponibili in fattori di primo grado nella variabile x. Quando si vuole risolvere una disequazione fratta ridotta alla forma normale non si può eliminare il denominatore applicando i principi di equivalenza perchè il denominatore può essere positivo o negativo al variare dell'incognita. Stabilite le condizioni di esistenza della frazione, per risolverla è necessario studiare il segno del rapporto che è determinato dal segno del numeratore e dal segno del denominatore. Il rapporto sarà positivo se numeratore e denominatori sono concordi, sarà negativo se sono discordi. Ad esempio vediamo i vari passaggi per risolvere la disequazione fratta:

  • Primo passo: Riduciamo la disequazione nella forma normale:

  • Secondo passo: Stabiliamo le condizioni di accettabilità nel nostro caso è

    x ≠ −2

  • Terzo passo: Chiamiamo N il numeratore e D il denominatore e studiamo il segno di N e D al variare di x:

    il numeratore è positivo nell'intervallo ]3; +∞[, il denominatore è positivo nell'intervallo ]−2; +∞[.

  • Quarto passo: Rappresentiamo graficamente il segno di N, il segno di D e il segno della frazione N/D:

    La prima retta orientata rappresenta il segno di N: negativo dove c'è la semiretta tratteggiata, positivo dove c'è la semiretta continua. La seconda retta orientata rappresenta il segno di D, la terza retta orientata rappresenta il segno del rapporto N/D e le sue parti sono tratteggiate o meno tenendo conto della regola dei segni. Per x = −2 si annulla il denominatore e quindi il rapporto N/D perde di significato ecco perchè è stato messo il punto interrogativo. Per x=3 si annulla invece il numeratore e quindi anche il rapporto.

Concludendo, la disequazione è verificata per:

x < − 2 oppure x > 3

Equivalentemente possiamo dire che l'insieme delle soluzioni è l'unione dei due intervalli:

]−∞; −2[ ∪ ]3; + ∞[

vediamo due esempi:

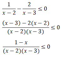
  • Esempio 1: Risolviamo la disequazione

    Riconduciamo la disequazione alla forma normale:

    Ora studiamo il segno di N e D tenendo presente che D è un prodotto; dovremo quindi studiare il segno di ciascuno dei fattori di D.

    D1 = x - 2     e     D2 = x - 3

    Rappresentiamo i segni con lo schema delle rette orientate:

    Per x=2 e x=3 la disequazione perde di significato (quindi tali valori sono esclusi dalle soluzioni) mentre per x=1 è soddisfatta (la disequazione, infatti, è del tipo "minore o uguale"). In conclusione la disequazione è soddisfatta per

    1 ≤ x < 2 oppure x > 3

    o, equivalentemente, l'insieme delle soluzioni è

    [1; 2[ ∪ ]3; +∞[

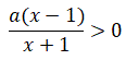
  • Esempio 2: Risolviamo la disequazione letterale

    Ora attenzione, mentre per determinare il segno del denominatore D non abbiamo alcun problema (D è positivo se x > -1), troviamo nel numeratore N il parametro a. Pertanto il segno del numeratore dipende non solo da x (che è la nostra incognita) ma anche da a. Dobbiamo allora esaminare separatamente i tre casi a = 0, a > 0, a < 0.

    • Primo caso: Se a è nullo si annulla anche la frazione e dunque la disequazione non è mai soddisfatta.

    • Secondo caso: Se a è positivo si ha

      ax - a > 0 → x > 1

      Dunque N è positivo se x > 1. Ecco lo schema

    • Terzo caso: Se a è negativo si ha

      ax - a > 0 → x < 1

      Dunque N è positivo se x < 1. Ecco lo schema

      Quindi se a è negativo la disequazione è soddisfatta per -1 < x < 1.

© giuseppe sarnataro