Disequazioni letterali

Una disequazione è detta letterale o parametrica se oltre all'incognita contenga anche una o più lettere (cioè parametri). Ad esempio è letterale la disequazione:

a(x − 2) > 3 + 2x

Come per le equazioni, quando si risolvono questi tipi di disequazioni, i parametri sono considerati come costanti. Però, poichè la soluzione è espressa in funzione di uno o più parametri, è necessario esaminare i vari casi che si possono presentare al variare di tali parametri. Quando si affronta questo esame si suol dire che la disequazione viene discussa. Ad esempio, risolviamo la disequazione letterale:

a(x − 2) > 3 + 2x

Eseguiamo il prodotto:

ax − 2a > 3 + 2x

Portiamo al primo membro i termini con l'incognita e al secondo membro i termini noti:

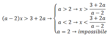
ax − 2x > 3 +2a    cioè    (a-2)x > 3 +2a

Il passo successivo consiste nel dividere primo e secondo membro per a − 2. L'espressione a − 2, però, può essere positiva, negativa o nulla a causa della presenza del parametro a. Dobbiamo quindi distinguere i tre casi.

Discussione:

  • Primo caso: a − 2 > 0, cioè a > 2.

    Per a > 2 possiamo dividere i due membri della disequazione per a − 2 senza cambiare il verso della diseguaglianza; si ottiene così la soluzione:

  • Secondo caso: a − 2 < 0, cioè a < 2.

    Per a < 2 possiamo dividere i due membri della disequazione per a − 2 cambiando il verso della diseguaglianza; si ottiene così la soluzione:

  • Terzo caso: a − 2 = 0, cioè a = 2.

    Per a = 2 non possiamo dividere i due membri per a − 2 che rappresenta zero. Porremo allora a = 2 nella disequazione iniziale che diventa:

    (x − 2) > 3 + 2x     cioè     0x > 7

    che è impossibile

Riassumendo si ha:

© giuseppe sarnataro