Ampliamento dei numeri reali

I numeri immaginari hanno permesso di ampliare l'insieme dei numeri reali e di costituire l'insieme dei numeri complessi indicati con la lettera C. Un generico numero complesso z è composto da due parti ben distinte, una parte reale e una parte immaginaria e indicato con la scrittura:

z = a + bi

dove a è la parte reale e bi è la parte immaginaria. Il numero reale b viene anche detto coefficiente immaginario.

C = {a + bi | a, b ∈ R e i2 = -1}

L'insieme dei numeri complessi è stato indispensabile per gli ulteriori sviluppi dell'algebra:

  • Nella risoluzione delle equazioni.

    Nell'insieme dei numeri complessi ogni equazione di secondo o di terzo grado con coefficienti reali o immaginari è sempre completamente risolubile e questo risultato può essere generalizzato grazie al teorema di Gauss:

    Teorema fondamentale dell'algebra:

    Nell'insieme C ogni equazione algebrica a coefficienti reali o complessi:

    anzn + an-1zn-1 + ... + a1z + a0 = 0

    ha tante radici (eventualmente coincidenti) quante il suo grado. Questo teorema è importante perchè permette di scoprire che nell'insieme C c'è corrispondenza tra il numero delle soluzioni di un'equazione e il suo grado e questa regolarità non esiste nell'insieme R.

  • Nella fattorizzazione di un polinomio.

    Nell'insieme dei numeri complessi ogni polinomio di grado n a coefficienti reali o complessi

    p(z) = anzn + an-1zn-1 + ... + a1z + a0

    si fattorizza in un sol modo, in C, nel prodotto di n fattori lineari; si ha infatti

    p(z) = an(z - z1) (z - z2) ... (z - zn)

    dove z1, z2, ..., zn sono numeri complessi.

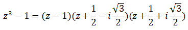
    Ad esempio il polinomio x3 - 1 nell'insieme R si fattorizza in:

    (x - 1)(x2 + x + 1)

    dove il polinomio di secondo grado è irriducibile ma è scomponibile nell'insieme C.

  • Nelle radici dell'unità.

    Nell'insieme dei numeri reali l'equazione xn = 1 ha una sola soluzione, x=1, se n è dispari, e due soluzioni, x = ±1, se n è pari. Nell'insieme C l'equazione zn = 1 ha esattamente n diverse radici n-esime complesse dell'unità che nel piano di Gauss si dispongono ai vertici di un poligono regolare di n lati inscritto nella circonferenza con centro nell'origine e raggio 1. Ad esempio l'equazione

    z4 = 1

    ha quattro radici complesse

    1, -1, i, -i

    e nel piano di Gauss si dispongono ai vertici di un quadrato.



© giuseppe sarnataro