Origini
L'unità immaginaria indicata col simbolo i per definizione è:
la radice quadrata di meno uno.In simboli
![]()
Un altro modo equivalente per definirla è:
l'unità immaginaria è quel numero il cui quadrato è uguale a meno uno.In simboli
i2 = -1
Queste due definizioni sembrano due paradossi se si considera che:
Nell'insieme dei numeri reali la radice quadrato di un numero negativo non esiste perchè non esiste nessun numero reale che elevato al quadrato dia come risultato un numero negativo.Pertanto l'unità immaginaria e i numeri che si ottengono moltiplicando un qualsiasi numero reale per l'unità immaginaria
2i, 3i, -i, -2i, 5i, ...
hanno creato molti "mal di pancia" ai matematici. All'inizio queste entità erano considerate solo degli artifici algebrici necessari per risolvere alcuni tipi di equazioni come ad esempio:
x2 + 1 = 0
Gottfried Leibniz (1646-1716) affermava che questi numeri erano enti anfibi fra l'essere e il non essere, per Eulero (1707-1783) erano numeri che per la loro natura sono impossibili, che esistono solo nella nostra immaginazione. Fu Cartesio (1596-1650) a definirli numeri immaginari perchè non li considerava veri e propri oggetti matematici. Per comprendere la necessità dell'unità immaginaria e dei numeri immaginari bisogna fare un salto indietro e partire dalla prima metà del XVI secolo. In questa storia sono coinvolti i matematici italiani Scipione dal Ferro (1465-1526), Niccolò Fontana, detto il Tartaglia (1500-1557), Girolamo Cardano (1501-1576), Raffaele Bombelli (1526-?1572). In quel periodo il prestigio e la ricchezza di un matematico dipendevano dalle disfide matematiche pubbliche che erano gare di abilità matematica dette "cartelli di matematica disfida". In questi duelli pubblici i due contendenti si sfidavano reciprocamente a risolvere determinati problemi di cui dovevano conoscere la soluzione. In queste disfide ognuno dei contendenti proponeva all'avversario un "cartello" composto da 30 quesiti di particolare difficoltà. I due cartelli venivano depositati presso un notaio e resi pubblici. Vinceva chi era in grado di risolvere il maggior numero di problemi con la condizione che nessuno dei due sfidanti poteva proporre problemi che egli stesso non fosse in grado di risolvere. Spesso queste disfide matematiche erano molto accese e in alcuni casi sconfinavano in atteggiamenti irriguardosi nei confronti del concorrente. La posta in palio era molto alta, il vincitore oltre alla gloria e al prestigio otteneva premi in denaro, incarichi professionali, aumenti di stipendio, nuovi allievi paganti. Ogni matematico era quindi geloso delle proprie conoscenze e se scopriva un metodo per risolvere un determinato problema non lo rendeva pubblico e lo teneva segreto in attesa di poterlo sfruttare per vincere una disfida. A quel tempo, uno dei problemi non ancora risolto era determinare la formula risolutiva generale per radicali delle equazioni di terzo grado. La formula risolutiva delle equazioni di secondo grado era nota già ai Babilonesi e molti matematici greci e arabi avevano tentato senza successo di scoprire un metodo generale per risolvere le equazioni di terzo grado. Il matematico Fra Luca Bartolomeo de Pacioli (1445-1517)
![]()
nel suo libro Summa de Arithmetica, Geometria, Proportioni et Proportionalita del 1494 affermava che il problema della risoluzione delle equazioni di terzo grado era impossibile. Verso il 1515 Scipione dal Ferro scoprí, senza renderla pubblica, la formula per risolvere l'equazione di terzo grado del tipo:
ax3 + bx = c
Quando morí nel 1526 un suo allievo Antonio Maria Del Fiore si appropiò della formula. Nello stesso periodo Tartaglia scoprí la formula risolutiva per ogni equazione di terzo grado:
x3 + px2 + qx = r
Nel 1534 Del Fiore sfidò Tartaglia in una disfida matematica. Del Fiore propose 30 problemi tutti basati sull'unica equazione di terzo grado che conosceva mentre Tartaglia propose 30 problemi sulle equazioni complete di terzo grado. Naturalmente Tartaglia vinse la disfida e diventò famoso. Gerolamo Cardano dopo vari tentativi riuscí a estorcere la formula a Tartaglia seppure in una forma velata promettendo di non renderla pubblica. In seguito Cardano non mantenne la promessa e pubblicò a suo nome i risultati di Tartaglia nel suo libro Ars Magna del 1545.
![]()
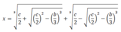
Ad esempio, la formula risolutiva dell'equazione x3 = bx + c è:
![]()
Cardano scopre che questa formula non può essere applicata quando si verifica:
![]()
perchè il radicando della radice quadrata è un numero negativo. In questi casi per Cardano l'equazione è irrisolvibile e rappresentava il caso irriducibile. Raffaele Bombelli sapeva che un'equazione di terzo grado ha almeno una radice reale e nel suo libro L'algebra del 1572
![]()
Considera l'equazione:
x3 = 15x + 4
sapendo che ha per soluzione x = 4. Infatti:
43 = 15 ⋅ 4 + 4
Però, applicando la formula di Cardano otteneva il caso irriducibile:
![]()
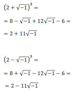
Bombelli cercò di trovare la soluzione x = 4 lavorando su questo risultato. Sapendo che la somma doveva essere uguale a 4 pose:
![]()
Inoltre, stabilí le seguenti regole di calcolo:
![]()
Applicando queste regole scoprí che
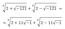
![]()
Infatti
![]()
E finalmente ottenne la soluzione cercata:
![]()
Bombelli chiamò le radici immaginarie quantità silvestri, l'espressione +√-1 più di meno e l'espressione -√-1 meno di meno. Fu Eulero a introdurre il simbolo i per indicare la radice quadrata di meno uno.