Disequazioni irrazionali del tipo:

Esaminiamo alcuni esempi di risoluzione di disequazioni irrazionali nelle quali compaiono due radicali:
![]()
Distinguiamo due casi:
n dispari.
Essendo dispari gli indici delle radici non bisogna porre nessuna condizione ai due radicali. Elevando alla potenza n-esima entrambi i membri si ottiene una disequazione razionale equivalente:
![]()
Ad esempio, risolviamo la disequazione:
![]()
Elevando alla quinta potenza entrambi i membri si ottiene:
![]()
che è soddisfatta per :
![]()
n pari.
Essendo pari gli indici delle due radici bisogna porre la condizione di esistenza ai due radicali. Con tale condizione possiamo elevare alla potenza n-esima entrambi i membri per ottenere una disequazione razionale. In conclusione, la disequazione irrazionale iniziale equivale al sistema:
![]()
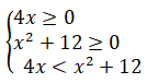
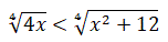
Ad esempio, risolviamo la disequazione:
![]()
Imponendo la condizione di esistenza dei due radicali e elevando alla quarta potenza entrambi i membri si ottiene il seguente sistema equivalente alla disequazione irrazionale:
![]()
Cioè
![]()
che è soddisfatta per 0 ≥ x < 2.
Vediamo alcuni esercizi svolti di disequazioni irrazionali un pò complicate ma riconducibili ad uno dei casi esaminati.
Esempio 1 Risolviamo la disequazione irrazionale:
![]()
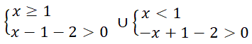
La disequazione è equivalente al sistema:
![]()
La prima disequazione del sistema è verificata per:
![]()
La seconda disequazione del sistema è verifica per:
![]()
Il sistema diventa quindi:
![]()
e le soluzioni del sistema e della disequazione irrazionale sono:
![]()
Esempio 2 Risolviamo la disequazione irrazionale fratta:
![]()
Per la realtà delle radici dovrà essere:
Per il numeratore: x+2 ≥ 0 → x ≥ -2
Per il denominatore: x ≥ 0Per l'esistenza della frazione dovrà essere:
![]()
Il dominio della disequazione è quindi:
![]()
Consideriamo il numeratore N > 0.
Il numeratore è equivalente all'unione dei due sistemi:
![]()
Che sono verificati per:
![]()
Consideriamo il denominatore D > 0.
Il denominatore è equivalente all'unione dei due sistemi:
![]()
Che sono verificati per:
![]()
Consideriamo ora, lo schema dei segni riassuntivo tra numeratore e denominatore considerando solo i valori di x appartenenti al dominio della disequazione irrazionale fratta:
![]()
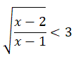
Esempio 3 Risolviamo la disequazione irrazionale:
![]()
Per la realtà delle radici dovrà essere:
2x + 3 ≥ 0 e x - 2 ≥ 0 cioè x ≥ 2
Trasportiamo il secondo radicale al secondo membro:
![]()
La disequazione è equivalente al sistema:
![]()
Cioè
![]()
La terza disequazione è irrazionale ed è equivalente al sistema:
![]()
Cioè
![]()
Pertanto si ha:
![]()
e la soluzione della disequazione data è:
![]()
Esempio 4 Risolviamo la disequazione irrazionale con valore assoluto:
![]()
Per definizione di valore assoluto distinguiamo due casi: x ≥ 0 e x ≤ 0.
Pertanto la disequazione irrazionale è equivalente all'unione dei due sistemi:
![]()
Consideriamo il primo sistema.
Essendo la seconda disequazione una disequazione irrazionale si ha:
![]()
Cioè
![]()
Consideriamo il secondo sistema.
![]()
Cioè
![]()
Pertanto si ha:
![]()
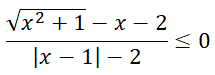
Esempio 5 Risolviamo la disequazione irrazionale con valore assoluto:
![]()
Per l'esistenza della frazione dovrà essere:
|x - 1| ≠ 2 → x ≠ -1 ∨ x ≠ 3
Consideriamo il numeratore N > 0.
Il numeratore è equivalente all'unione dei due sistemi:
![]()
Che sono verificati per:
![]()
Consideriamo il denominatore D > 0.
Per definizione di valore assoluto la disequazione è equivalente all'unione di due sistemi:
![]()
Che sono verificati per x < -1 ∨ x > 3.
Pertanto la soluzione della disequazione data è:
![]()