Disequazioni irrazionali del tipo:

Esaminiamo alcuni esempi di risoluzione di disequazioni irrazionali nelle quali compare un solo radicale al primo membro e un polinomio al secondo membro:
![]()
Distinguiamo due casi:
n dispari.
Essendo l'indice della radice dispari non bisogna porre nessuna condizione al radicale. Elevando alla potenza n-esima entrambi i membri si ottiene una disequazione razionale equivalente:
![]()
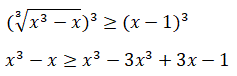
Ad esempio, risolviamo la disequazione:
![]()
Eleviamo alla terza potenza entrambi i membri in modo da trasformare la disequazione irrazionale in una disequazione razionale equivalente.
![]()
Risolviamo la disequazione razionale le cui soluzioni sono anche le soluzioni della disequazione irrazionale.
![]()
n pari.
Ci sono due sottocasi:
![]()
Consideriamo il primo sottocaso:
![]()
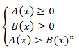
Essendo l'indice della radice pari è necessario porre la condizione di esistenza del radicale e cioè:A(x) ≥ 0
Se tale condizione è soddisfatta allora il primo menbro della disequazione è positivo o nullo e affinchè la disequazioni sia soddisfatta occorre che il secondo membro sia maggiore di zero cioè: B(x) > 0 (concordanza di segno). Se le due condizioni sono soddisfatte allora i due termini della disequazione sono entrambi non negativi e possiamo trasformare la disequazione irrazionale in una disequazione razionale equivalente elevando alla potenza n-esima entrambi i membri e cioè:
A(x) < [B(x)]n
In conclusione, la disequazione irrazionale iniziale equivale al seguente sistema:
![]()
Ad esempio, risolviamo la disequazione:
![]()
che equivale al sistema
![]()
e risolvendo le tre disequazioni del sistema si ottiene
![]()
Il sistema (e la disequazione irrazionale) è soddisfatto per:
3 ≤ x < 4
Consideriamo il secondo sottocaso:
![]()
Essendo l'indice della radice pari è necessario porre la condizione di esistenza del radicale e cioè:
A(x) ≥ 0
Ora, se la condizione di esistenza è soddisfatta B(x) può essere sia positivo o nullo che negativo. Se B(x) è positivo o nullo per la concordanza di segno possiamo trasformare la disequazione irrazionale in una disequazione razionale equivalente elevando alla potenza n-esima entrambi i membri. In tal caso le soluzioni della disequazione irrazionale sono date dalle soluzioni del sistema:
![]()
La prima disequazione del sistema può essere tralasciata perchè è implicitamente soddisfatta dalla terza disequazione del sistema e quindi il sistema diventa:
![]()
Invece, se B(x) è negativo allora il primo membro essendo positivo o nullo sarà sicuramente maggiore del secondo membro e quindi la disequazione è soddisfatta e le soluzioni sono date dal sistema:
![]()
In conclusione, le soluzioni della disequazione irrazionale iniziale sono date dall'unione delle soluzioni dei due sistemi:
![]()
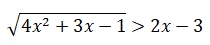
Ad esempio, risolviamo la disequazione
![]()
Le soluzioni della disequazione si ottengono unendo le soluzioni dei due sistemi:
![]()
Cioè
![]()
Il primo sistema ha come soluzione:
![]()
il secondo sistema ha come soluzione:
![]()
e l'unione dei due sistemi ha per soluzione:
![]()