L'equazione generale di una conica

Nel piano cartesiano, tutte le curve coniche sono descritte da un'equazione completa di secondo grado in due incognite:

Ax2 + By2 + Cx + Dy + E + Fxy = 0

Per ora, ci limiteremo a considerare solo le coniche con assi paralleli agli assi cartesiani che sono rappresentate da un'equazione di secondo grado in due incognite in cui manca il termine xy essendo il coefficiente F=0.

Ax2 + By2 + Cx + Dy + E = 0

Vediamo per quali valori reali dei coefficienti l'equazione rappresenta, nel piano cartesiano, un particolare tipo di conica:

  • Primo caso: A = B

    Se i coefficienti dei termini di secondo grado sono uguali l'equazione rappresenta una circonferenza. Ad esempio:

    x2 + y2 - 2x - 4y + 1 = 0

  • Secondo caso: A ≠ 0 ∧ B = 0

    Se il coefficiente del termine di secondo grado in y è nullo l'equazione rappresenta una parabola con l'asse parallelo all'asse y. Ad esempio:

    x2 + 3x - y + 2 = 0

  • Terzo caso: A = 0 ∧ B ≠ 0

    Se il coefficiente del termine di secondo grado in x è nullo l'equazione rappresenta una parabola con l'asse parallelo all'asse x. Ad esempio:

    y2 + x + 2y - 1 = 0

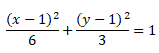
  • Quarto caso: A > 0 ∧ B > 0 ∧

    Se i coefficienti dei termini di secondo grado sono entrambi positivi e se la condizione di realtà è maggiore di zero l'equazione rappresenta un'ellisse. Ad esempio:

    x2 + 2y2 - 4x + 8y - 5 = 0

    che può essere scritta:

    (x2 - 4x + 4) + 2(y2 + 4y + 4) - 17 = 0

    cioè:

    (x - 2)2 + 2(y + 2)2 = 17

    quindi:



  • Quinto caso: A < 0 ∧ B < 0 ∧

    Se i coefficienti dei termini di secondo grado sono entrambi negativi e se la condizione di realtà è minore di zero l'equazione rappresenta un'ellisse. Ad esempio:

    -x2 - 2y2 + 2x + 4y - 3 = 0

    che può essere scritta:

    (x2 - 2x + 1) + 2(y2 - 2y + 1) - 6 = 0

    cioè:

    (x - 1)2 + 2(y - 1)2 = 6

    quindi:



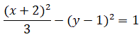
  • Sesto caso: A > 0 ∧ B < 0 ∧

    Se i coefficienti dei termini di secondo grado sono discordi e se la condizione di realtà è maggiore di zero, l'equazione rappresenta un'iperbole con asse traverso parallelelo all'asse x. Ad esempio:

    x2 - 3y2 + 4x + 6y - 2 = 0

    che può essere scritta:

    (x2 + 4x + 4) - 3(y2 - 2y + 1) - 3 = 0

    cioè:

    (x + 1)2 - 3(y - 1)2 = 3

    quindi:



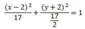
  • Settimo caso: A < 0 ∧ B > 0 ∧

    Se i coefficienti dei termini di secondo grado sono discordi e se la condizione di realtà è minore di zero, l'equazione rappresenta un'iperbole con asse traverso parallelelo all'asse y. Ad esempio:

    -9x2 + 4y2 + 18x + 8y - 41 = 0

    che può essere scritta:

    -9(x2 - 2x + 1) + 4(y2 + 2y + 1) - 36 = 0

    cioè:

    -9(x - 1)2 + 4(y + 1)2 = 36

    quindi:



© giuseppe sarnataro