Segno di un trinomio di secondo grado

Studiare il segno di un trinomio di secondo grado nella sola variabile x significa stabilire per quali valori di x il trinomio

ax2 + bx + c

assume un valore di segno positivo, oppure un valore di segno negativo oppure il valore zero. Per lo studio del trinomio bisogna considerare l'equazione associata, che si ottiene uguagliando a zero il trinomio:

ax2 + bx + c = 0

e calcolare il discriminante dell'equazione:

Δ = b2 - 4ac

A questo punto si possono verificare tre casi:

  • Δ > 0

    L'equazione ha due radici reali e distinte x1 e x2 e il trinomio è scomponibile in

    a(x - x1)(x - x2)

    Naturalmente il trinomio ha valore zero per x=x1 e per x=x2

  • Δ = 0

    L'equazione ha due radici reali e coincidenti x1 = x2 e il trinomio è scomponibile in

    a(x - x1)2

  • Δ < 0

    L'equazione non ha radici reali e il trinomio non è scomponibile in fattori di primo grado

  • Primo caso: Δ > 0 .

    Ad esempio il trinomio:

    2x2 + x - 6

    ha l'equazione associata:

    2x2 + x - 6 = 0

    e il discriminante maggiore di zero:

    pertanto l'equazione ammette due zeri reali e distinti che possiamo determinare mediante la formula risolutiva:

    Il trinomio si annulla, quindi, per x = -2 oppure per x = 3/2 ed è scomponibile in fattori lineari:

    Studiamo il segno dei singoli fattori.

    2 > 0

    x + 2 > 0 → x > - 2

    x - 3/2 > 0 → x > 3/2

    e rappresentiamo i risultati con il grafico dei segni:

    Come si vede dal grafico il segno del trinomio è positivo per valori esterni all'intervallo delle radici dell'equazione ed è negativo per valori interni all'intervallo delle radici.

    In generale:

    • il segno di un trinomio ax2+bx+c con Δ > 0 e a > 0; è positivo per valori esterni all'intervallo delle radici dell'equazione associata, è negativo per valori interni all'intervallo delle radici, è nullo quando la variabile ha il valore di una delle due radici.

    • il segno di un trinomio ax2+bx+c con Δ > 0 e a < 0; è positivo per valori interni all'intervallo delle radici dell'equazione associata, è negativo per valori esterni all'intervallo delle radici, è nullo quando la variabile ha il valore di una delle due radici.

  • Secondo caso: Δ = 0 .

    Se il discriminante è uguale a zero (Δ = 0) l'equazione ha due soluzioni reali e coincidenti x1=x2 e il trinomio ax2+bx+c è scomponibile in:

    ax2 + bx + c = a(x - x1)2

    Ora, il fattore (x - x1)2 essendo un quadrato è sempre positivo per x≠x1 e quindi il segno del trinomio dipende esclusivamente dal segno del primo coefficiente a.

    In generale:

    • il segno di un trinomio ax2+bx+c con Δ = 0 e a > 0; è positivo per valori esterni all'intervallo delle radici dell'equazione associata e si annulla quando la variabile ha lo stesso valore delle radici (il segno del trinomio non è mai negativo perchè l'intervallo interno alle radici è nullo).

    • il segno di un trinomio ax2+bx+c con Δ = 0 e a < 0; è negativo per valori esterni all'intervallo delle radici dell'equazione associata e si annulla quando la variabile ha lo stesso valore delle radici (il segno del trinomio non è mai positivo perchè l'intervallo interno alle radici è nullo).

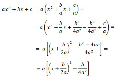
  • Terzo caso: Δ < 0 .


    Se il discriminante è negativo (Δ < 0) l'equazione non ha soluzioni reali e quindi non possiamo scomporla in fattori di primo grado. Possiamo però esprimere il trinomio in una somma di due addendi mettendo a fattore comune il coefficiente a e poi aggiungendo e togliendo b2/4a2


    I due addendi sono entrambi positivi; il primo è positivo perchè è un quadrato, il secondo è positivo perchè il delta è negativo ma avendo il segno negativo davanti diventa positivo.

    In questo caso il segno di un trinomio ax2+bx+c con Δ < 0 dipende esclusivamente dal segno del primo coefficiente a:

    In generale:

    • il segno di un trinomio ax2+bx+c con Δ < 0 e a > 0; è sempre positivo per tutti i valori della variabile.

    • il segno di un trinomio ax2+bx+c con Δ < 0 e a < 0; è sempre negativo per tutti i valori della variabile.


Riassumendo il segno di un trinomio ax2+bx+c si può dedurre considerando il segno del discriminante dell'equazione associata e il segno del suo primo coefficiente in questo modo:


Queste considerazioni sono importanti nello studio delle disequazioni di secondo grado.

© giuseppe sarnataro