Equazioni irrazionali con due o più radicali

Per determinare la soluzione di un'equazione irrazionale con due o più radicale il metodo risolutivo dipende dai vari casi che si possono presentare pertanto procederemo mediante degli esempi.

  1. Equazione con due radicali con lo stesso indice dispari:


    In questo caso, non essendoci nessuna condizione, elevando entrambi i membri alla n-esima potenza si ottiene un'equazione razionale equivalente a quella data:


    e quindi per risolvere questo tipo di equazione irrazionale basta risolvere l'equazione razionale equivalente.

    Esempio 1: Risolvere l'equazione irrazionale:


    Elevando entrambi i membri alla terza potenza e risolvendo l'equazione razionale ottenuta si ottiene la soluzione dell'equazione irrazionale data.


  2. Equazione con due radicali con lo stesso indice pari e con altri termini:


    In questo caso, bisogna tener conto della condizione di esistenza dei due radicali e quindi le soluzioni dell'equazione irrazionale sono fornite dalla soluzione del sistema:


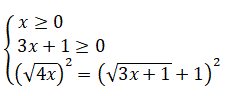
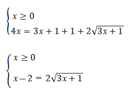
    Esempio 2: Risolvere l'equazione irrazionale:


    Considerando la condizione di esistenza di ciascun radicale e elevando entrambi i membri alla seconda potenza si ottiene il sistema:


    E risolvendo il sistema si ottiene la soluzione dell'equazione irrazionale data:


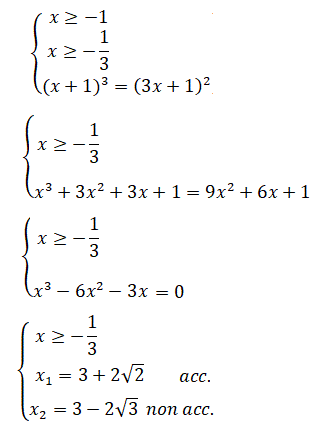
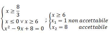
    Esempio 3: Risolvere l'equazione irrazionale:


    Portiamo la radice con il segno meno a secondo membro, in modo da avere due radici positive, poi consideriamo il sistema costituito dalle condizioni di esistenza dei due radicali e dall'elevamento di entrambi i membri alla seconda potenza:


    Sviluppando il sistema si ottiene:


    In cui è presente un'equazione irrazionale con un solo radicale che possiamo risolvere elevando entrambi i membri alla seconda potenza come abbiamo già visto:


  3. Equazione con due radicali con indici diversi; uno pari e l'altro dispari:


    Condizione di esisteza dei radicali:

    poichè il radicale con indice pari deve essere non negativo anche il radicale con indice dispari deve essere non negativo.

    Inoltre, per ottenere l'equazione razionale dobbiamo elevare entrambi i membri alla potenza che è data dal minimo comune multipli tra i due indici: mcm(n, m).

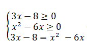
    Esempio 4: Risolvere l'equazione irrazionale:


    L'equazione irrazionale è equivalente al sistema costituito dalle due condizioni di esistenza dei radicali e dall'equazione razionale ottenuta elevando entrambi i membri alla sesta potenza, essendo 6 il mcm tra gli indici delle radici:


  4. Equazione con tre radicali quadratici:


    In questo caso, bisogna considerare le condizioni di esistenza dei tre radicali e la trasformazioni in equazione razionale si ottiene elevando al quadrato più volte entrambi i membri.

    Esempio 5: Risolvere l'equazione irrazionale:


    soluzione:


© giuseppe sarnataro