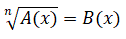
Equazioni irrazionali
Un'equazione è irrazionale se l'incognita compare sotto il segno di radice; ad esempio è irrazionale l'equazione:
![]()
invece, non è razionale l'equazione:
x√3 + √2 = 0
Il primo passo per risolvere un'equazione irrazionale è quello di trasformarla in un'equazione razionale equivalente in modo che l'incognita non compaia più sotto il segno di radice. Il secondo passo consiste nel risolvere l'equazione razionale ottenuta con i soliti metodi. Per eliminare le radici con indice n dobbiamo elevare alla potenza n uno o più volte entrambi i membri dell'equazione. Seguendo questo procedimento, se l'equazione irrazionale contiene solo radicali con indice dispari elevando entrambi i membri all'n-esima potenza si ottiene effettivamente un'equazione razionale equivalente e quindi le due equazioni hanno le stesse soluzioni. Invece, se l'equazione irrazionale contiene radicali con indice pari può succedere che l'equazione razionale ottenuta ammette tutte le soluzioni dell'equazione irrazionale, ma può ammettere anche altre soluzioni che sono estranee all'equazione originaria. Vediamo un esempio, consideriamo l'equazione irrazionale con indice pari:
![]()
Primo passo: eleviamo al quadrato entrambi i menbri:
![]()
Secondo passo: risolviamo l'equazione razionale così ottenuta.
![]()
Otteniamo le due soluzioni:
x = 3 e x = -5
Queste due radici sono anche le soluzioni della nostra equazione irrazionale? Verifichiamolo. Sostituendo x = 3 nell'equazione irrazionale si ha:
![]()
e quindi x = 3 è soluzione dell'equazione irrazionale. Sostituendo x = - 5 si ha
![]()
La soluzione x = -5 non è soluzione dell'equazione irrazionale e quindi non è accettabile. Questo vuol dire che l'equazione razionale ottenuta non è equivalente a quella irrazionale anche se hanno una soluzione in comune. In generale:
Se si elevano entrambi i membri di un'equazione a una potenza di esponente pari, la nuova equazione che si ottiene non sempre è equivalente, a quella assegnata, poichè può avere più soluzioni rispetto a essa.
In conclusione:
Per risolvere un'equazione irrazionale con indice pari possiamo elevare entrambi i membri alla potenza pari della radice in modo da trasformarla in un'equazione razionale, risolvere l'equazione che si ottiene e verificare se le soluzioni trovate sono accettabili.
Per risolvere un'equazione irrazionale con indice pari possiamo procedere anche in un altro modo: bisogna stabilire le condizioni di accettabilità (C.A.) delle soluzioni dell'equazione irrazionale prima di trasformarla in razionale. Ad esempio, applichiamo questo secondo metodo alla nostra equazione:
![]()
La prima condizione è quella di esistenza del radicale (C.E.) che non può essere negativo e quindi bisogna trovare l'insieme dei valori di x che soddisfano tale condizione. Nel nostro caso deve essere:
x + 6 ≥ 0 e cioè x ≥ -6.
La seconda condizione è quella di concordanza di segno (C.S.) tra il primo e il secondo membro dell'equazione. Se il primo membro deve essere non negativo anche il secondo membro deve essere non negativo. Nel nostro caso deve essere
3 + x ≥ 0 e cioè x ≥ -3.
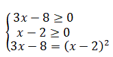
Quindi la condizione di accettabilità è
![]()
Questo vuol dire che le soluzioni dell'equazione irrazionale, se esistono, devono essere maggiori o uguali a -3. Ora, come abbiamo visto elevando al quadrato entrambi i membri dell'equazione e risolvendo l'equazione razionale ottenuta si ha per soluzioni x = 3 e x = -5. Possiamo quindi dire che x=3 è soluzione accettabile perchè soddisfa la C.A. mentre x=-5 non è accettabile perchè non soddisfa la C.A. In altre parole, l'equazione:
![]()
è equivalente al sistema:
![]()
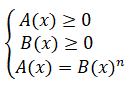
In generale, un'equazione irrazionale di indice pari
![]()
è equivalente al sistema
![]()
Vediamo alcuni casi di risoluzione di equazioni irrazionali utilizzando il metodo delle condizioni di accettabilità.
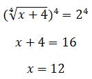
Esempio 1: Risolvere l'equazione irrazionale:
![]()
La C.E. del radicale è:
x + 4 ≥ 0 → x ≥ -4
Essendo il secondo membro un numero maggiore di zero c'è sicuramente concordanza di segno e quindi la condizione di accettabilità è x ≥ -4. Eleviamo entrambi i membri alla quarta potenza e risolviamo l'equazione razionale ottenuta.
![]()
Essendo x maggiore di -4 la soluzione è accettabile.
Esempio 2: Risolvere l'equazione irrazionale:
![]()
L'equazione è impossibile perchè la radice quadrata di un numero è sempre positiva o nulla.
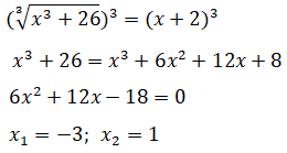
Esempio 3: Risolvere l'equazione irrazionale:
![]()
In questo caso non c'è nessuna condizione di esistenza per il radicale perchè la radice cubica di un numero reale esiste sempre e ha lo stesso segno di quel numero. Eleviamo entrambi i membri alla terza potenza e risolviamo l'equazione razionale ottenuta
![]()
Esempio 4: Risolvere l'equazione irrazionale:
![]()
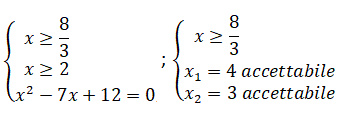
Considerando la C.E. del radicale e la C.S. e la condizione di esistenza si ottiene il sistema in tre equazioni:
![]()
Risolvendo il sistema si ottiene:
![]()