Indietro
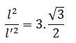
Indichiamo con l il lato del quadrato e con l' il lato dell'esagono. Essendo equivalenti i due poligoni possiamo uguagliare le due aree. Cioè Da cui si ottiene:
Indichiamo con l il lato del quadrato e con l' il lato dell'esagono.
Essendo equivalenti i due poligoni possiamo uguagliare le due aree.
Cioè
Da cui si ottiene: