Quadrato e esagono regolare isoperimetrici
   

Indietro

Indichiamo con l il lato del quadrato e con l' il lato dell'esagono.

Poichè i due poligoni hanno lo stesso perimetro possiamo determiniamo la relazione tra il lato l' e il lato l.

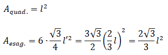
Calcoliamo l'area del quadrato e l'area dell'esagono regolare in funzione del lato l.

Infine, determiniamo il rapporto tra le aree del quadrato e dell'esagono regolare.