Lato del triangolo inscritto
   

Indietro

Indichiamo con x la misura del lato del triangolo inscritto e con y la misura del lato AD. Il triangolo AED è rettangolo con un angolo acuto di 60° e quindi il cateto minore è la metà dell'ipotenusa pertanto misura y/2.

Possiamo esprimere y in funzione del lato del triangolo ABC cioè in funzione di l:

Possiamo anche esprimere y in funzione di x ricordando la relazione tra i cateti in un triangolo rettangolo con un angolo acuto di 60°:

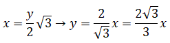
E uguagliando le due relazioni in y si ha:

E risolvendo rispetto a x si ottiene: