Due segmenti
   

Indietro

Indichiamo con a e b i lati dei triangoli equilateri e tracciamo le altezze relative alla base dei triangoli.

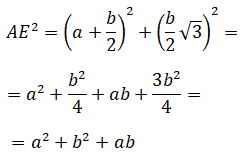
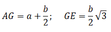
In questo modo i segmenti AE e CD rappresentano rispettivamente le ipotenuse dei triangoli rettangoli AEG e CFD e mediante il teorema di Pitagora possiamo determinarli in funzione di a e b. Il triangolo AEG ha per cateti:

E il quadrato dell'ipotenusa è:

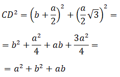
Il triangolo CFD ha per cateti:

E il quadrato dell'ipotenusa è:

Ne segue che i due segmenti AE e CD hanno la stessa lunghezza.