Ottagono regolare nel quadrato
   

Indietro

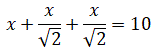
Se indichiamo con x la lunghezza del lato dell'ottagono regolare possiamo indicare con:

ciascuna delle restanti parti del lato del quadrato.

Ed essendo uguale a 10 cm la lunghezza del lato del quadrato possiamo scrivere l'equazione:

E risolvendo si ottiene: