Area del quadrato
   

Indietro

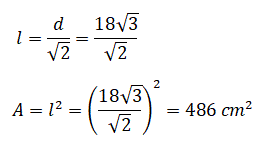
Tracciamo le altezze dei triangoli equilateri relative al lato comune.

Ciascuna altezza misura 9√3 cm e quindi la loro somma misura 18√3 cm. Ora, la somma delle due altezze rappresenta anche la diagonale del quadrato e mediante la relazione fra lato e diagonale del quadrato possiamo determinare il lato e l'area del quadrato: