Quadrato e pentagono regolare
   

Indietro

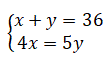
Se indichiamo con x e y rispettivamente il lato del quadrato e il lato del pentagono regolare possiamo scrivere:

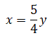
Risolvendo la seconda equazione rispetto a x si ottiene:

E sostituendo questa relazione nella prima equazione si ha:

E quindi AP =20 cm e PB = 16 cm.