La piega
   

Indietro

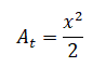
Poniamo AF=x e FB=10-x. In questo modo l'area del triangolo rettangolo isoscele è uguale a:

Mentre l'area dell'esagono si può ottenere come somma delle aree di due rettangoli.

Uno con dimensioni 10 e 10-x e l'altro con dimensioni x e 10-x. Essendo le aree del triangolo e dell'esagono uguali possiamo scrivere:

E svolgendo si ottiene: