Rapporto tra aree
   

Indietro

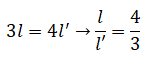
Indichiamo con l il lato del triangolo e con l' il lato del quadrato.

Essendo i due poligoni regolari isoperimetrici si ha:

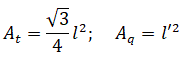
Inoltre, le aree dei due poligoni espressi rispetto ai lati sono rispettivamente:

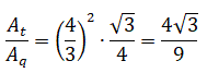
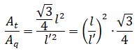
Pertanto, il loro rapporto è:

E sostituendo a l/l' il rapporto 4/3 si ottiene: