Area del deltoide
   

Indietro

Consideriamo la seguente figura:

I triangoli BFE e BFG sono isosceli, retti in F e congruenti e quindi:

BF = FG = EF

Inoltre:

Ne segue:

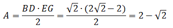
Pertanro le diagonali del deltoide misurano:

Essendo l'area del deltoide uguale al prodotto delle diagonali diviso due si ha: