Area dell'ottagono
   

Indietro

Consideriamo il quadrilatero OABC e le diagonali AC e OB:

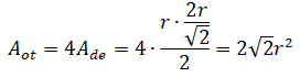
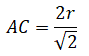
Il quadrilatero OABC è un deltoide ed è un quarto dell'area dell'ottaedro regolare. L'area del deltoide è data dal prodotto delle diagonali diviso due. La diagonale OB misura r e la diagonale AC è il lato del quadrato inscritto nella circonferenza.

Possiamo quindi esprimere AC rispetto al diametro 2r della circonferenza.

Calcoliamo l'area dell'ottagono regolare moltiplicando per 4 l'area del deltoide.