Numeri sia triangolari che quadrati 1
   

Indietro

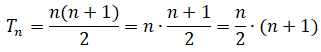
Partiamo dall'idea che il prodotto di due numeri quadrati è un numero quadrato e che un generico numero triangolare è dato dalla formula:

Ora, se n e (n+1):2 oppure (n:2) e (n+1) sono entrambi numeri quadrati allora il numero triangolare è anche un numero quadrato. In sostanza bisogna trovare due numeri consecutivi tali che quello dispari sia un numero quadrato e quello pari sia il doppio di un numero quadrato. Ad esempio, il numero triangolare 36 è dato dal prodotto:

9 ⋅ (8 : 2) = 9 ⋅ 4

Con pochi calcoli non e difficile individuare i due numeri consecutivi 49 e 50 che hanno questa caratteristica: