Piramide vista da lontano
   

Indietro

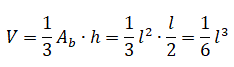
Se le quattro facce della piramide viste da lontano sono triangoli rettangoli isosceli vuol dire che l'altezza della piramide corrisponde all'altezza relativa all'ipotenusa del triangolo rettangolo isoscele e l'ipotenusa del triangolo coincide con lo spigolo di base della piramide.

Ora, in un triangolo rettangolo isoscele l'altezza relativa all'ipotenusa è la metà di quest'ultima e quindi: