Percorso più bree su un tetraedro
   

Indietro


Se consideriamo lo sviluppo piano del tetraedro composto dai quattro triangoli equilateri che formano un parallelogramma il percorso più breve è un segmento di retta che attraversa i quattro triangoli.


Ecco come appare il percorso più breve sul solido.


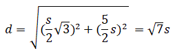
Possiamo determinare la lunghezza del percoso applicando il teorema di Pitagora al triangolo AHB.