Piramide dimezzata
   

Indietro

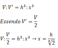
Se la piramide piccola deve essere equivalente al tronco di piramide vuol dire che il suo volume V' è la metà del volume V della piramide intera. Inoltre, le due piramidi, quella intera e quella piccola sono simili e allora i volumi stanno fra loro come i cubi delle relative altezze.