Piccoli regali
   

Indietro

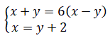
Se indichiamo con x i regali comprati da Anna e con y quelli comprati da Lucia possiamo tradurre la prima informazione dell'indovinello (la somma dei regali acquistati da me e da Anna è sei volte la loro differenza) con l'equazione:

x + y = 6(x - y)

E la seconda informazione (Anna ha acquistato due regali più di mè) con l'equazione:

x = y + 2

Ora, le due equazioni non sono da considerarsi singolarmente bensí simultaneamente e costituiscono un sistema in 2 equazioni con 2 incognite:

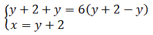
Nella prima equazione possiamo sostituire la x con y + 2 ottenendo cosí un'equazione nella sola incognita y:

Risolvendo si ha:

y = 5, x = 7

Pertanto Anna ha comprato 7 regalini.