Tazza, bicchiere e tazzina
   

Indietro

Se indichiamo con t, b e x rispettivamente il peso di una tazza, di un bicchiere e di una tazzina e consideriamo la prima uguaglianza dei pesi possiamo scrivere:

t = b + x

Se consideriamo la seconda uguaglianza dei pesi possiamo scrivere:

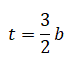
3b = 2t

Risolvendo quest'ultima relazione rispetto a t si ha:

E sostituendola nella prima relazione si ottiene:

E quindi il peso di due tazzini è uguale al peso di un bicchiere.