Indietro
Se indichiamo con x la diagonale minore e con 60–x quella maggiore possiamo scrivere l'equazione x(60–x) = (x–8)(78–x) Risolvendo si ottiene: E quindi la diagonale minore misura 24 cm e la diagonale maggiore 36 cm.
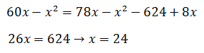
Se indichiamo con x la diagonale minore e con 60–x quella maggiore possiamo scrivere l'equazione
x(60–x) = (x–8)(78–x)
Risolvendo si ottiene:
E quindi la diagonale minore misura 24 cm e la diagonale maggiore 36 cm.