Indietro
Se indichiamo con x la quantità in litri di vino iniziale allora con il primo e il secondo prelievo vengono tolti rispettivamente: Possiamo quindi scrivere l'equazione: E risolvendo si ottiene: E quindi la botte conteneva 180 litri di vino.
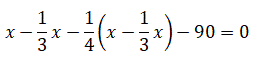
Se indichiamo con x la quantità in litri di vino iniziale allora con il primo e il secondo prelievo vengono tolti rispettivamente:
Possiamo quindi scrivere l'equazione:
E risolvendo si ottiene:
E quindi la botte conteneva 180 litri di vino.