Quadrato e triangolo equilatero
   

Indietro

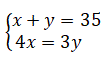
Se indichiamo con x e y rispettivamente il lato del quadrato e il lato del triangolo equilatero possiamo scrivere:

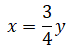
Risolvendo la seconda equazione rispetto a x si ottiene:

E sostituendo questa relazione nella prima equazione si ha:

E quindi AP =15 cm e PB = 20 cm.