Tre cestini di fragole
   

Indietro

Se indichiamo con x, y e z il numero delle fragole contenute rispettivamente nel primo, nel secondo e nel terzo cestino possiamo tradurre con l'equazione

x + y + z = 72

il primo dato del quesito: il numero complessivo delle fragole è 72.

Dal primo cestino passiamo al secondo tante fragole quante ce ne sono in questo

Cioè, togliamo dal primo cestino y fragole e mettiamo queste y fragole nel secondo cestino e quindi dopo aver fatto ciò si ha:

  • nel primo cestino ci saranno x - y fragole

  • nel secondo cestino ci saranno y + y = 2y fragole

  • nel terzo cestino ci saranno z fragole

Dal secondo ne passiamo al terzo tante fragole quante ce ne sono nel terzo

Cioè, togliamo dal secondo cestino z fragole e mettiamo queste z fragole nel terzo cestino e quindi:

  • nel primo cestino ci saranno x - y fragole

  • nel secondo cestino ci saranno 2y - z fragole

  • nel terzo cestino ci saranno z + z = 2z fragole

Dal terzo passiamo al primo tante fragole quante ce n'è ora nel primo

Cioè, togliamo dal terzo cestino (x - y) fragole e mettiamo queste (x - y) fragole nel primo cestino e quindi:

  • nel primo cestino ci saranno x - y + (x - y) = 2(x-y) fragole

  • nel secondo cestino ci saranno 2y - z fragole

  • nel terzo cestino ci saranno 2z - (x - y) fragole

In ogni cestino ci saranno lo stesso numero di fragole

Cioè fatti questi trasferimenti di fragole da un cestino all'altro in ogni cestino ci saranno 72 : 3 = 24 fragole pertanto:

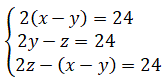
  • nel primo cestino ci saranno 2(x - y) = 24 fragole

  • nel secondo cestino ci saranno 2y - z = 24 fragole

  • nel terzo cestino ci saranno 2z - (x - y) = 24 fragole

Bisogna quindi risolvere il sistema:

Dividendo per 2 entrambi i membri della prima equazione del sistema si ha che (x - y) = 12 e sostituendo (x - y) con 12 nella terza equazione si ottiene:

2z - 12 = 24 → z = 18

Sostituendo z con 18 nella seconda equazione si ottiene:

2y - 18 = 24 → y = 21

Sostituendo y con 21 nella prima equazione si ottiene:

2(x - 21) = 24 → x = 33

Nel primo cestino ci sono 33 fragole, nel secondo 21 fragole e nel terzo 18 fragole.