L'età di Diofanto
   

Indietro

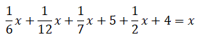
Se indichiamo con x l'età di Diofanto allora si ha:

Dio gli concesse di rimanere fanciullo per un sesto della sua vita:

e trascorso un altro dodicesimo gli coperse le guance con la barba:

dopo un settimo della sua vita prese moglie:

cinque anni dopo ebbe un figlio: 5

questo figlio dopo aver raggiunto metà della vita di suo padre morí:

Diofanto si consolò per altri quattro anni, dedicandosi allo studio dei numeri. Indi morì: 4

Mettendo insieme i tratti di vita di Diofanto si ha:

E risolvendo rispetto a x si ha:

Pertanto Diofanto visse 84 anni.