Squadra di calcio
   

Indietro

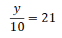
Indichiamo con x l'età del giocatore espulso e con y la somma delle età dei restanti 10 giocatori. Essendo 21 l'età media dei 10 giocatori possiamo scrivere:

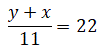
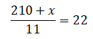
Ne segue che la somma delle età dei restanti 10 giocatori è 210 anni. Essendo 22 l'età media degli 11 giocatori possiamo scrivere:

Cioè:

E risolvendo rispetto a x si ottiene x = 32 anni.