L'eredità
   

Indietro

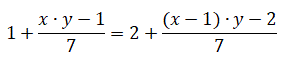
Se indichiamo con x il numero dei figli e con y il numero delle sterline che ognuno riceve, il prodotto x⋅y rappresenta il numero totale delle sterline. Il primo figlio riceve:

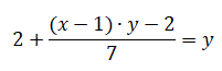
Il secondo figlio riceve:

E dato che tutti i figli ricevono la stessa quantità di sterline possiamo scrivere:

Da cui si ricava:

E sostituendo nella prima relazione si ottiene:

Pertanto, i figli sono 6 ognuno riceve 6 sterline e il numero totale delle sterline sono 36.