Due ciclisti
   

Indietro

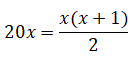
Indichiamo con x il numero dei giorni necessari al secondo ciclista per raggiungere il primo ciclista. Dopo x giorni il primo ciclista avrà percorso 20x chilometri, mentre il secondo ciclista ne avrà percorsi:

(1 + 2 + 3 + 4 + 5 + ... + x) chilometri

Questa somma è uguale a:

Essendo uguali i chilometri percorsi possiamo scrivere:

Risolvendo l'equazione si ottiene:

La prima soluzione x=0 corrisponde al giorno della partenza mentre x=39 corrisponde al giorno del raggiungimento. Dopo 39 giorni il primo ciclista avrà percorso:

20 ⋅ 39 = 780 Km

Anche il secondo ciclista avrà percorso gli stessi chilometri.

1+2+3+4+5+...+36+37+38+39 = 780 Km