Strana semplificazione
   

Indietro

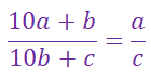
Indichiamo con a, b, c tre numeri interi compresi tra 1 e 9 e verifichiamo quando si presenta la seguente condizione:


Cioè:


E risolvendo rispetto a c si ottiene:


Da questa relazione ne segue che bisogna determinare per quali valori di a e di b si ottiene un valore intero di c. Ad esempio, per a = 1 e b = 6 si ottiene:


E quindi:


Con a=1 e b=9 si ottiene:


Con a=4 e b=9 si ottiene: