Tre rubinetti
   

Indietro

Indichiamo con C la capacità della cisterna in litri, con p1, p2 e p3 la portata in litri all'ora di ciascun rubinetto, con T1, T2 e T3 il tempo necessario per ciascun rubinetto per riempire la cisterna e con T il tempo necessario per riempire la cisterna quando sono aperti contemporaneamente i tre rubinetti.

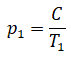
Il primo rubinetto impiegando T1 ore per riempire la cisterna la sua portata in litri all'ora è:


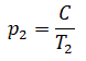
Il secondo rubinetto impiegando T2 ore per riempire la cisterna la sua portata in litri all'ora è:


Il terzo rubinetto impiegando T3 ore per riempire la cisterna la sua portata in litri all'ora è:

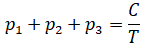
Quando i tre rubinetti sono entrambi aperti la portata complessiva è uguale alla somma delle tre portate:

Cioè:

E risolvendo rispetto a T si ottiene:

E inserendo i dati del quesito si ha: