Due rubinetti
   

Indietro

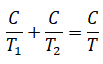
Indichiamo con C la capacità della vasca in litri, con p1 e p2 la portata in litri al minuto di ciascun rubinetto, con T1 e T2 il tempo necessario per ciascun rubinetto per riempire la vasca e con T il tempo necessario per riempire la vasca quando sono aperti entrambi i rubinetti. Il primo rubinetto impiegando T1 minuti per riempire la vasca la sua portata in litri al minuto è:

Il secondo rubinetto impiegando T2 minuti per riempire la vasca la sua portata in litri al minuto è:

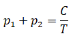
Quando i due rubinetti sono entrambi aperti la portata complessiva è uguale alla somma delle due portate:

Cioè:

E risolvendo rispetto a T si ottiene:

E inserendo i dati del quesito si ha: