Monete
   

Indietro

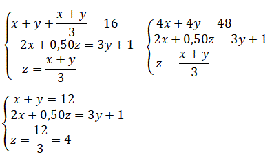
Indichiamo con x, y e z rispettivamente il numero delle monete da 2 euro, 1 euro e 0,50 euro. Possiamo tradurre la prima informazione del quesito (Giulia ha prelevato in totale 16 monete) con l'equazione:

x + y + z = 16

La seconda informazione (le monete da 2 euro insieme alle monete da 0,50 euro forniscono una somma che supera di 1 euro il triplo della somma costituita dalle monete da 1 euro) con l'equazione:

2x + 0,50z = 3y + 1

E la terza informazione (il numero delle monete da 0,50 euro è un terzo del numero complessivo delle monete da 2 euro e 1 euro) con l'equazione:

z = (x + y) : 3

Le tre equazioni non sono da considerarsi singolarmente bensí simultaneamente e costituiscono un sistema in 3 equazioni con 3 incognite:

Nella prima equazione possiamo sostituire z con (x+y):3 ottenendo cosí un'equazione nelle due incognite x, y. Risolvendo si ha:

Nella seconda equazione sostituendo x con 12-y e z con 4 otteniamo un'equazione nella sola incognita y. Risolvendo si ha:

Pertanto Giulia ha prelevato:

7 ⋅ 2 + 5 ⋅ 1 + 4 ⋅ 0,50 = 21 euro