Cicloide
Consideriamo una bicicletta che si muove su un tratto rettilineo e chiediamoci: un punto A sul bordo esterno della ruota che curva descrive durante il moto di rotolamento della ruota?
![]()
Supponiamo che quando la bicicletta è ferma il punto A sia al livello del terreno, poi quando la bicicletta si muove il punto A segue il movimento della ruota e si solleva dal terreno fino ad un'altezza massima pari al diametro della ruota per poi ridiscendere fino a toccare di nuovo il terreno ad una distanza dal punto di partenza pari alla lunghezza della circonferenza della ruota e poi ripete ciclicamente la stessa traettoria.
![]()
Questa curva fu chiamata da Galileo cicloide ed è definita come la traettoria di un punto fisso su una circonferenza che rotola senza strisciare su una retta.
![]()
Galileo fu attratto da questa graziosa curva e in una lettera indirizzata a Bonaventura Cavalieri scrisse:
Quella linea arcuata sono più di cinquant'anni che mi venne in mente il descriverla, e l'ammirai per una curvità graziosissima per adattarla agli archi di un ponte. Feci sopra di essa, e sopra lo spazio di lei e della sua corda compresa, diversi tentativi per dimostrarne qualche passione, e parvemi da principio che tale spazio potesse essere triplo del cerchio che la descrive; ma non fu cosí, benchè la differenza non sia molto.
L'intuizione di Galileo era giusta e fu Roberval a dimostrare nel 1634 che la cicloide poteva essere divisa in tre regione equivalenti che misurano rispettivamente Πr2:
![]()
Pertanto si ha:
![]()
Roberval per la sua dimostrazione utilizzò il metodo degli indivisibili: se due figure piane si possono disporre in modo tale che le rette di un fascio parallelo le tagliano secondo segmenti corrispondenti uguali, allora le due figure sono equivalenti.
Le due regioni colorate in figura sono equivalenti in base al metodo degli indivisibili inoltre, la parte colorata è la metà di un rettangolo di area 2Πr2 e quindi ogni parte colorata ha area Πr2.
![]()
Nello stesso periodo altri matematici (Descartes, Fermat, Pascal, Torricelli) si sono interessati alla cicloide e hanno scoperto diverse dimostrazioni confermando sempre che l'area della cicloide è tre volte l'area del cerchio che la descrive.
Vediamo come si può determinare le equazioni parametriche della cicloide. Consideriamo la circonferenza di raggio r e un punto B appartenente alla circonferenza e alla cicloide e determiniamo le coordinate x=AE e y=BE di B.
![]()
Determiniamo l'ascissa x:
x = AE = AD - ED
Poichè la circonferenza non slitta la misura del segmento AD è ugale alla misura dell'arco BD che è uguale al prodotto tra il raggio e l'angolo al centro α. Inoltre ED è congruente a BC che è uguale al prodotto rsinα per cui si ha:
x = AE = AD - ED = r ⋅ α - r ⋅ sinα = r(α - sinα)
Determiniamo l'ordinata y:
y = BE = OD - OC = r - r ⋅ cosα = r(1 - cosα)
Pertanto le equazioni parametriche della cicloide sono:
![]()
Con il software GeoGebra possiamo ottenere la cicloide utilizzando le equazioni della curva con il comando:
curva(r(t-sin(t)),r(1-cos(t)),t,0,2Πr)
![]()
oppure costruire la cicloide come luogo dei punti che si ottengono mediante la composizione di una traslazione (il centro della circonferenza) e di una rotazione (il punto fisso sulla circonferenza che rotola). Le istruzioni per la costruzione sono:
Si definisce lo slider r=[1, 5] per avere un raggio di lunghezza variabile.
Si definisce lo slider α=[0, 4Π] per avere un angolo di lunghezza variabile.
Si definisce il punto A = (α, r) per avere un punto che trasla con r costante.
Si costruisce la circonferenza di centro A e raggio r.
Si definisce il punto B come intersezione tra la circonferenza e l'asse x.
Si definisce il punto B' come rotazione del punto B attorno il punto A di un angolo α.
Si costruisce il segmento AB'.
Si attiva Mostra traccia di B'.
Muovendo lo slider α si ottiene la cicloide come luogo dei punti.
![]()
La cicloide per le sue innumerevoli e interessanti proprietà è stata la curva più studiata dal maggior numero di matematici del XVII secolo.
Wren dimostrò che la lunghezza dell'arco di cicloide è otto volte il raggio del cerchio che la descrive. Possiamo intuire questa proprietà con un modello costituito da due sagome che sono la metà della cicloide generata da un cerchio di raggio unitario r = 1 e da una corda lunga 4r fissata ad un'estremitè tra le due mezze cicloidi come si vede in figura.
![]()
Se teniamo tesa la corda in modo che sia aderente a una delle due sagome e fissiamo all'altra estremità una penna possiamo tracciare un'altra cicloide generata da un cerchio di raggio unitario. Si intuisce che questa nuova cicloide è costituita da due archi ciascuno di lunghezza 4r e quindi la lunghezza complessiva della cicloide è 8 volte il raggio unitario.
Cristian Huygens nel 1659 scoprì che la cicloide è una curva tautocrona o isocrona che vuol dire "stesso tempo". Se due oggetti vengono lasciati cadere lungo la concavità di una cicloide impiegano sempre lo stesso tempo per raggiungere la parte inferiore della curva indipendentemente dall'altezza da cui vengono lasciati cadere. Ad esempio le due biglie A e B in figura arriveranno contemporaneamente nel punto C anche sono lasciate cadere da due altezze differenti della curva.
![]()
E' stato dimostrato che il tempo necessario alla biglia per giungere al punto C dipende solamente dal raggio r del cerchio generatore della cicloide e dal valore dell'accelerazione di gravità (g=9,81 m/s2) e quindi è influente la posizione di partenza.
Utilizzando la proprietà tautocrona della cicloide Huygens costruì un pendolo cicloidale in cui le oscillazioni sono isocrone indipendentemente dalla loro ampiezza. Nel pendolo semplice il peso descrive un arco di cerchio e il tempo impiegato per compire un'oscillazione completa è costante solo per piccole ampiezze
![]()
Nel pendolo cicloidale il peso descrive un arco di cicloide tramide due guide che sono la metà di una cicloide per cui il tempo impiegato per compire un'oscillazione completa è costante e dipende solamente dalle dimensioni della cicloide.
![]()
Jean Bernoulli dimostrò che la cicloide è una curva brachistocrona perchè rende minimo il tempo di caduta di un oggetto tra due punti situati sullo stesso piano, ma non sulla stessa verticale. Bernoulli propose il problema della brachistocrona come una sfida per i più importanti matematici del suo tempo: dati due punti fissi su un piano verticale. Un oggetto parte da fermo in uno dei punti e si sposta verso l'altro con il proprio peso. Qual è il percorso che l'oggetto deve seguire per raggiungere l'altro punto nel più breve tempo possibile?
Questo problema venne risolto sia da Newton che da Leibniz. Si può verificare sperimentalmente con un modello che un oggetto impiega minor tempo a discendere lungo un arco di cicloide che non lungo il tratto rettilineo, che congiunge gli estremi dell'arco, nonostante che quest'ultimo sia più breve.
![]()
Fino a questo momento abbiamo considerato la curva tracciata da un punto su una circonferenza di un cerchio che rotola senza strisciare sopra una linea, ma se il punto anzichè trovarsi sulla circonferenza si trova all'interno del cerchio che curva si ottiene? Che curva genera la valvola della ruota di una bicicletta che si muove su un tratto rettilineo senza strisciare? Certamente la valvola non sarà mai a contatto con il terreno e la curva che si genera sarà una cicloide traslata verso l'alto leggermente diversa che viene chiamata cicloide accorciata
![]()
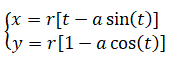
Le equazioni generali della cicloide che contemplano anche quella accorciata sono:
![]()
dove nella cicloide normale si ha a = r, mentre per la cicloide accorciata si ha a < r.
Osserviamo le ruote di un treno:
![]()
Queste ruote hanno un bordino di guida che serve a impedire al treno di avere dei movimenti laterali per cui il bordino ha un diametro maggiore della ruota che poggia sulla faccia interna della rotaia. Ora, che curva genera un punto situato sulla circonferenza del bordino quando la ruota del treno si muove su un binario rettilineo senza strisciare? Questo punto genera una cicloide allungata cioè una cicloide con cappio al di sotto del livello della rotaia.
![]()
Le equazioni della cicloide allungata sono le stesse della cicloide generale ma deve essere a > r.
La cicloide per le sue particolari caratteristiche viene utilizzata in molte applicazioni pratiche sia in fisica che in architettura. Ad esempio l'arco che sorregge il ponte di Calatrava a Reggio Emilia ha la forma di una cicloide.
![]()