Asteroide

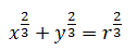
L'ipocicloide con quattro cuspidi è noto con il nome asteroide. Questa curva nota anche con il nome di tetracuspide fu scoperta dall'astronomo danese Ole Romer nel 1674 e studiata dai matematici Johann Bernoulle, Gottfried Liebniz, Jean d'Alembert. L'equazione parametrica dell'asteroide è:

e la sua equazione cartesiana definita da Liebniz è:

L'asteroide si può ottenere come inviluppo di un segmento di lunghezza fissa i cui estremi scorrano sui due assi cartesiani.

Il segmento appartiene in ogni sua posizione alla retta tangente in un punto dell'asteroide. Con il software GeoGebra possiamo simulare lo scorrimento del segmento con le seguenti istruzioni:

  • Si definisce il punto A(0,0) e la circonferenza di centro A e raggio 4.

  • Si definisce lo slider α=[0, 360°, incremento 5°].

  • Si definisce un punto B sulla circonferenza.

  • Sia B' il punto ottenuto dalla rotazione di B intorno al punto A con angolo α.

  • Si definiscono le rette a e b passanti per B' e perpendicolari agli assi cartesiani.

  • Siano C e D i punti di intersezione delle rette a e b con gli assi cartesiani.

  • Si definisce il segmento CD.

  • Si definisce la retta passante per B' e perpendicolare al segmento CD e sia E il loro punto di intersezione.

  • Si utilizza lo strumento luogo indicando come primo punto E e come secondo punto B'.

  • Si utilizza animazione attiva dello slider.

Attivando traccia attiva al segmento CD si ottiene la seguente figura:

L'asteroide si può ottenere anche come inviluppo di ellissi centrati in un sistema cartesiano e aventi costante la somma dei due semiassi:

Ciascuna ellisse è tangente all'asteroide in quattro punti simmetrici rispetto agli assi cartesiani. Con il software GeoGebra possiamo facilmente tracciare la famiglia di ellissi aventi costante la somma dei due assi con le seguenti istruzioni:

  • Si definisce lo slider a [0, 1, incremento 0.1].

  • Si definisce la funzione x2/a2 + y2/(1-a)2 = 1

  • Si utilizza animazione attiva dello slider.



© giuseppe sarnataro