Punti di massimo e minimo relativi
I punti x0, che appertengono al dominio della funzione, in cui si ha y'=f'(x0)=0 sono detti punti stazionari. Nel grafico di una funzione in corrispondenza di un punto stazionario la tangente alla curva è parallela all'asse delle x e quindi ogni punto stazionario può essere un massimo relativo o un minimo relativo o un flesso a tangente orizzontale.
![]()
![]()
Come possiamo individuare, fra i punti stazionari, i punti di massimo relativo o di minimo relativo o di flesso a tangente orizzontale? Con lo studio del segno della derivata prima nell'intorno del punto stazionario. Se osserviamo i quattro grafici possiamo facilmente notare che:
Se x0 è un punto di massimo relativo la curva cresce a sinistra di x0 e decresce a destra di x0. In altre parole, nel punto di massimo relativo la curva cambia andamento passa da un andamento crescente ad uno decrescente.
![]()
Se x0 è un punto di minimo relativo la curva decresce a sinistra di x0 e cresce a destra di x0. In altre parole, nel punto di minimo relativo la curva cambia andamento passa da un andamento decrescente ad uno crescente.
![]()
Se x0 è un punto di flesso a tangente orizzontale la curva cresce (o decresce) a sinistra di x0 e cresce (o decresce) a destra di x0. In altre parole, nel punto di flesso a tangente orizzontale la curva non cambia andamento.
![]()
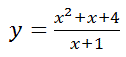
Esempio1: verifichiamo se il grafico della funzione
![]()
abbia punti di massimo relativi o di minimo relativo o di flesso. Il dominio della funzione è l'insieme dei numeri reali escluso -1. Poichè risulta
![]()
la derivata prima della funzione è derivabile ∀x∈R. Esaminiamo il segno della derivata prima.
![]()
In un intorno sinistro di x=-3 è f'(x)>0 (la curva è crescente) e in un intorno destro di x=-3 è f'(x)<0 (la curva è decrescente) ciò significa che il grafico della funzione ha in x=-3 un punto di massimo relativo. In un intorno sinistro di x=1 è f'(x)<0 (la curva è decrescente) e in un intorno destro di x=1 è f'(x)>0 (la curva è crescente) ciò significa che il grafico della funzione ha in x=1 un punto di minimo relativo.
![]()
Esempio2: verifichiamo se il grafico della funzione
y=x3+1
abbia punti di massimo relativi o di minimo relativo o di flesso. Il dominio della funzione è tutto l'insieme dei numeri reali. Poichè risulta
y'=f'(x)=3x2
la derivata prima della funzione è derivabile ∀x∈R. Esaminiamo il segno della derivata prima.
f'(x)>0 per x≠0; f'(x)=0 per x=0
In un intorno sinistro di x=0 è f'(x)>0 (la curva è crescente) e in un intorno destro di x=0 è f'(x)>0 (la curva è crescente) ciò significa che il grafico della funzione ha in x=0 un punto di flesso a tangenza orizzontale.
![]()