Dominio di una funzione

Il domino di una funzione è l'insieme di partenza su cui è definita la funzione che associa a ogni elemento del dominio uno e un solo elemento dell'insieme di arrivo. Determinare il dominio di una funzione significa, quindi, individuare quali numeri appartengono al dominio e ciò permette di stabilire in corrispondenza di quali valori di x si deve tracciare il grafico della funzione.

Per determinare il dominio di una funzione si deve tener conto delle seguenti limitazioni:

1) Il denominatore deve essere diverso da zero (non si può dividere per zero).

2) L'argomento delle radici di indice pari deve essere maggiore o uguale a zero.

3) L'argomento dei logaritmi deve essere maggiore di zero.

4) La funzione alla base di una funzione elevata ad una funzione deve essere maggiore di zero.

5) L'argomento delle tangenti deve essere diverso da .

6) L'argomento delle cotangenti deve essere diverso da .

7) L'argomento dell'arcseno deve essere compreso tra -1 e 1 estremi compresi.

8) L'argomento dell'arccoseno deve essere compreso tra -1 e 1 estremi compresi.

Vediamo alcuni esempi:

  • funzione razionale intera: y = f(x)

    Ad esempio:

    y = x3 - x + 2.

    Il dominio è costituito da ogni valore di x appartenente all'insieme dei numeri reali. Il grafico della funzione può essere tracciato con continuità cioè, può essere tracciato senza staccare mai la penna dal foglio. Il dominio della funzione è quindi:

    D = R oppure D = (−∞, +∞)

    e la rappresentazione grafica del dominio sull'asse delle ascisse coincide con tutto l'asse x.


  • funzione razionale fratta: y = f(x)/g(x)

    Ad esempio:


    Il dominio è costituito da ogni valore di x appartenente all'insieme dei numeri reali escludendo i valori che annullano il denominatore. Bisogna quindi porre la condizione g(x) ≠ 0 e nel nostro caso bisogna porre

    x2+3x-4 ≠ 0

    Cioè:


    Per x=-4 e per x=1 la funzione non è definita pertanto quando si traccia il grafico della funzione occorre alzare la penna dal foglio per passare da sinistra a destra del punto d'ascissa x=-4 e occorre alzare ancora la penna dal foglio per passare da sinistra a destra del punto d'ascissa x=1. I punti di ascissa x=-4 e x=1 sono detti punti di discontinuità della funzione.

    Il dominio della funzione è:

    Il dominio della funzione è costituito dall'unione di tre intervalli aperti:

    (-∞; -4) indica l'insieme dei numeri reali x per cui risulta x<-4,

    (-4; 1) indica l'insieme dei numeri reali x per cui risulta -4<x<1,

    (1; ∞) indica l'insieme dei numeri reali x per cui risulta x>1.

    La rappresentazione grafica del dominio sull'asse delle x coincide con l'asse tranne nei punti x=-4 e x=1 perchè in quei due punti ha un "buco".

    Analogamente, anche il grafico della funzione è costituito da tre parti separate detti rami della funzione. In questo caso possiamo colorare le rette x=-4 e x=1 dove sicuramente non è difinita la funzione e quindi non esiste il grafico della funzione.


  • funzione irrazionale di indice pari:

    Ad esempio:


    Il dominio è costituito da ogni valore di x appartenente all'insieme dei numeri reali tali da rendere il radicando positivo o nullo. Bisogna quindi porre la condizione f(x) ≥ 0 e nel nostro caso bisogna porre 4-x2 ≥ 0 cioè:


    Il dominio della funzione è:

    Il dominio della funzione è costituito da un intervallo chiuso limitato con i valori compresi tra -2 e 2 (estremi inclusi) e la sua rappresentazione grafica sull'asse delle x corrisponde al segmento avente per estremi (-2; 0) e (2; 0).

    Analogamente, anche il grafico della funzione è tutto racchiuso nella zona di piano limitato dalle rette x = -2 e x = 2. In questo caso possiamo colorare le regioni di piano dove sicuramente la funzione non è definita e quindi non esiste il grafico della funzione.


  • funzione irrazionale di indice dispari:

    Ad esempio:


    Il dominio è costituito da ogni valore di x appartenente all'insieme dei numeri reali:

    D = R oppure D = (−∞, +∞)


  • funzione logaritmica:

    Ad esempio:


    Se la base del logaritmo è maggiore di zero e diverso da 1, il dominio è costituito da ogni valore di x appartenente all'insieme dei numeri reali tali da rendere l'argomento del logaritmo maggiore di zero. Bisogna quindi porre la condizione f(x) > 0 e nel nostro esempio bisogna porre 2x-1>0 cioè:

    x>1/2

    Il dominio della funzione è:

    e la rappresentazione grafica del dominio sull'asse delle x corrisponde a una semiretta privata del suo punto d'origine (x>1/2 ∧ y=0):

    Analogamente, anche il grafico della funzione è compreso nella zona di piano che comprende la semiretta del dominio.


  • funzione esponenziale con base costante:

    Ad esempio:


    Il dominio è costituito da ogni valore di x appartenente all'insieme dei numeri reali e il grafico della funzione non ha punti di discontinuità. Il dominio della funzione è quindi:

    D = R oppure D = (−∞, +∞)


  • funzione esponenziale con base variabile:

    Ad esempio:


    Il dominio è costituito da ogni valore di x appartenente all'insieme dei numeri reali tali da rendere la base maggiore di zero. Bisogna quindi porre la condizione f(x) > 0 e nel nostro caso bisogna porre x+2>0 cioè:

    x > -2.

    Il dominio della funzione è:

    D = (−2, +∞)

    e la rappresentazione grafica del dominio sull'asse delle x coincide con una semiretta privata del suo punto d'origine (x>-2 ∧ y=0):

    Analogamente, anche il grafico della funzione è compreso nella zona di piano che comprende la semiretta del dominio.


  • funzione seno: y = sin(f(x))

    Ad esempio:


    Il dominio è costituito da ogni valore di x appartenente all'insieme dei numeri reali e il grafico della funzione non ha punti di discontinuità.

    Il dominio della funzione è:

    D = R oppure D = (−∞, +∞)


  • funzione coseno: y = cos(f(x))

    Ad esempio:


    Il dominio è costituito da ogni valore di x appartenente all'insieme dei numeri reali e il grafico della funzione non ha punti di discontinuità.

    Il dominio della funzione è:

    D = R oppure D = (−∞, +∞)


  • funzione tangente: y = tg(f(x))

    Ad esempio:


    Il dominio è costituito da ogni valore di x appartenente all'insieme dei numeri reali tali da rendere l'argomento della tangente diverso da . Bisogna quindi porre la condizione e nel nostro caso bisogna porre cioè:


    Il dominio della funzione è:


  • funzione cotangente: y = cotg(f(x))

    Ad esempio:

    y = cotg(3x)

    Il dominio è costituito da ogni valore di x appartenente all'insieme dei numeri reali tali da rendere l'argomento della cotangente diverso da un multiplo di pi greco. Bisogna quindi porre la condizione e nel nostro caso bisogna porre cioè:


    Il dominio della funzione è:


  • funzione arcoseno: y = arcosin(f(x))

    Ad esempio:

    y = arcosin(2x-2)

    Il dominio è costituito da ogni valore di x appartenente all'insieme dei numeri reali tali da rendere l'argomento dell'arcoseno compreso tra 1 e -1 estremi inclusi. Bisogna quindi porre la condizione -1 ≤ f(x) ≤ 1 e nel nostro caso bisogna porre

    -1 ≤ 2x - 2 ≤ 1

    cioè:


    Il dominio della funzione è:


  • funzione arcocoseno: y = arcocos(f(x))

    Ad esempio:

    y = arcocos(2x-2)

    Il dominio è costituito da ogni valore di x appartenente all'insieme dei numeri reali tali da rendere l'argomento dell'arcocoseno compreso tra 1 e -1 estremi esclusi. Bisogna quindi porre la condizione -1 ≤ f(x) ≤ 1 e nel nostro caso bisogna porre

    -1 ≤ 2x - 2 ≤ 1

    cioè:


    Il dominio della funzione è:


  • funzione arcotangente: y = arcotg(f(x))

    Ad esempio:

    y = arcotg(2x-2)

    Il dominio è costituito da ogni valore di x appartenente all'insieme dei numeri reali.

    Il dominio della funzione è quindi:

    D = R oppure D = (−∞, +∞)




Se una funzione è composta da più funzioni, il suo dominio sarà l'intersezione dei domini delle funzioni componenti (praticamente sarà la soluzione del sistema formato da tutte le condizioni di esistenza delle funzioni componenti). Vediamo alcuni esempi.

Esempio 1

Bisogna porre due condizioni: quella relativa alla radice di indice pari e quella del denominatore:



Esempio 2

Bisogna porre due condizioni: quella relativa alla prima radice di indice pari e quella della seconda radice di indice pari.



Esempio 3

Bisogna porre solo la condizione della radice di indice pari.



Esempio 4

Bisogna porre solo la condizione della radice di indice pari.



Esempio 5

Bisogna porre due condizioni: quella relativa al logaritmo e quella del denominatore.



Esempio 6

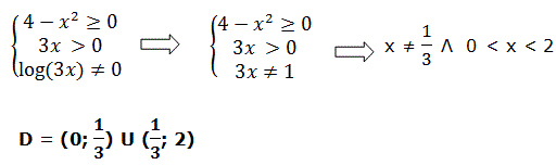
Bisogna porre tre condizioni: quella relativa alla radice di indice pari, quella del logaritmo e quella del denominatore.



Esempio 7

Bisogna porre tre condizioni: quella relativa alla radice di indice pari, quella del logaritmo e quella del denominatore.



Esempio 8

Bisogna porre tre condizioni: quella relativa al logaritmo al numeratore, quella del logaritmo al denominatore e quella del denominatore.



Esempio 9

Bisogna porre una sola condizione quella relativa al denominatore.



Esempio 10

Bisogna porre una sola condizione quella relativa al logaritmo.



Esempio 11

Bisogna porre due condizioni: quella relativa all'arcocoseno e quella del denominatore.



© giuseppe sarnataro