Cuspidi e punti angolosi

Se il grafico di una funzione ha eventuali punti angolosi o punti cuspidali o punti di flesso a tangente verticale

questi vanno individuati nei punti x0 del dominio della funzione che non sono derivabili. Una funzione può essere continua, in un dato intervallo, ma non essere derivabile in alcuni punti dell'intervallo. Come possiamo individuare questi punti? Bisogna confrontare il campo di esistenza della funzione con il campo di esistenza della derivata prima e verificare se esistono eventuali punti x0 che appartengono al campo di esistenza della funzione ma, non appartengono al campo di esistenza della derivata prima. Accertata l'esistenza di questi punti possiamo verificare quale dei tre casi si presenta:

  • Punti angolosi: il limite sinistro e il limite destro della derivata prima per x che tende a x0 hanno valori diversi e possono essere entrambi finiti oppure uno finito e l'altro infinito.

    In questo caso si dice che x0 è un punto angoloso per la funzione. Ad esempio, il campo di esistenza della funzione

    è tutto l'insieme R invece, il campo di esistenza della sua derivata prima

    è tutto l'insieme R escluso x0=2 perchè altrimenti, in quel punto, la derivata avrebbe due valori distinti. La funzione pur essendo continua in tutto R non è derivabile in x0=2 e come si può verificare il limite sinistro e il limite destro della derivata prima per x che tende a x0 sono diversi.

    Da un punto di vista geometrico, il grafico della funzione dovrebbe avere nel punto (x0; f(x0)) due tangenti distinte non parallele all'asse delle y. I punti angolosi possono essere punti di massimo o di minimo relativo per la funzione che si possono rilevare con lo studio della crescenza e decrescenza della funzione a sinistra e a destra del punto angoloso. Nel nostro caso il grafico presenta una decrescenza a sinistra e una crescenza a destra di x0=2 e quindi x0=2 è anche un punto di minimo relativo per la funzione. Ecco il grafico della funzione.

  • Cuspide: il limite sinistro e il limite destro della derivata prima per x che tende a x0 sono entrambi infiniti ma con segni opposti.

    In questo caso si dice che x0 è un punto cuspidale per la funzione. Ad esempio, il campo di esistenza della funzione


    è tutto l'insieme R invece, il campo di esistenza della sua derivata prima


    è tutto l'insieme R escluso x0=0 perchò con x0=0 si annulla il denominatore della derivata prima. La funzione pur essendo continua in tutto R non è derivabile in x0=0 e come si può verificare il limite sinistro e il limite destro della derivata prima per x che tende a x0 sono entrambi infiniti ma con segni opposti.

    Da un punto di vista geometrico, il coefficiente angolare della tangente al grafico cresce infinitamente in un intorno (sinistro o destro) del punto di cuspide e decresce infinitamente nell'altro intorno (destro o sinistro). Anche i punti cuspidali possono essere punti di massimo o di minimo relativo per la funzione che si possono rilevare con lo studio della crescenza e decrescenza della funzione a sinistra e a destra del punto cuspidale. Nel nostro caso il grafico presenta una decrescenza a sinistra di x0=0 e una crescenza a destra e quindi x0=0 ò anche un punto di minimo relativo per la funzione. Ecco il grafico della funzione.

  • Flesso a tangente verticale: il limite sinistro e il limite destro della derivata prima per x che tende a x0 sono infiniti dello stesso segno.

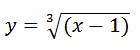
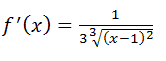
    In questo caso si dice che x0 ò un flesso a tangente verticale per la funzione. Ad esempio, il campo di esistenza della funzione

    ò tutto l'insieme R invece, il campo di esistenza della sua derivata prima

    è tutto l'insieme R escluso x0=1 perchè in x0=1 si annulla il denominatore della derivata prima. La funzione pur essendo continua in tutto R non è derivabile in x0=1 e come si può verificare il limite sinistro e il limite destro della derivata prima per x che tende a x0 sono entrambi infiniti dello stesso segno.

    Da un punto di vista geometrico, nell'intorno di x0 (punto di flesso a tangente verticale) la pendenza della tangente al grafico cresce infinitamente sia a sinistra che a destra, oppure decresce infinitamente sia a sinistra che a destra. Ecco il grafico della funzione.

    In generale le funzioni intere irrazionali con l'indice della radice dispari hanno un flesso a tangente verticale. Vediamo perchè se la radice con l'indice dispari ò al numeratore i valori che annullano il radicale fanno parte del campo di esistenza della funzione invece, quando la funzione viene derivata la radice di indice dispari dal numeratore passa al denominatore e i valori che annullano il radicale annullano anche il denominatore e quindi non possono far parte al campo di esistenza della derivata.



© giuseppe sarnataro