Asintoti
Quando il grafico di una funzione tende ad avvicinarsi indefinitamente a una retta senza mai toccarla si dice che la retta è un asintoto della curva. Il grafico di una funzione può avvicinarsi sempre di più a tre tipi di rette (verticale, orizzontale, obliqua) per cui si hanno tre tipi di asintoti:
Si ha un asintoto verticale quando per x che tende a un valore finito la funzione tende a un valore infinito, in tal caso; il grafico della funzione tende all'infinito avvicinandosi a una retta parallela all'asse delle y.
![]()
Si ha un asintoto orizzontale quando per x che tende all'infinito la funzione tende a un valore finito, in tal caso; il grafico della funzione tende ad un valore finito avvicinandosi a una retta parallela all'asse delle x.
![]()
Si ha un asintoto obliquo quando per x che tende all'infinito il grafico della funzione tende all'infinito avvicinandosi a una retta non parallela agli assi.
![]()
La ricerca degli asintoti è indispensabile per poter descrivere in modo preciso l'andamento del grafico di una funzione.
Ricerca di asintoti verticali
La ricerca dell'asintoto verticale si effettua solo se il dominio di una funzione presenta punti di discontinuità o punti agli estremi del dominio se sono finiti e non appartengono al dominio stesso. In tal caso bisogna calcolare i limiti della funzione per x che tende agli estremi finiti del dominio. Ad esempio se a è un punto di dicontinuità del dominio della funzione bisogna verificare se
![]()
Se l'uguaglianza è vera allora la retta x=a è un asintoto verticale della funzione. Ora, se a è interno all'intervallo, conviene precisare come il grafico della funzione si avvicina all'asintoto da sinistra o da destra. I due corrispondenti valori del limite si chiamano limite sinistro e limite destro. Vediamo quattro possibili casi supponendo che l'asintoto verticale sia x=1; se x si avvicina a 1 da sinistra il suo valore è minore di 1 e il limite sinistro si indica con il simbolo:
![]()
Invece, se x si avvicina a 1 da destra il suo valore è maggiore di 1 e il limite destro si indica con il simbolo:
![]()
 
![]()
 
![]()
Può succedere che sia infinito solo il limite sinistro o solo il limite destro, in tal caso, si parla rispettivamente di asintoto sinistro o di asintoto destro. Il grafico di una funzione può avere più asintoti verticali, può addirittura avere infiniti asintoti verticali come ad esempio la funzione y=tg(x) che ha asintoti verticali in corrispondenza di tutti i multipli dispari di Π/2.
![]()
Esempio1: cerchiamo, se esiste, l'asintoto verticale della funzione:
![]()
Il domino della funzione è l'insieme dei numeri reali tranne x=1 perchè tale valore annulla il denominatore della funzione:
D=(-∞ 1)U(1; +∞)
Nel dominio c'è quindi un punto di discontinuità: x=1. Vediamo se per x che tende 1 se la funzione tende all'infinito:
![]()
Abbiamo cosí la conferma che la retta x=1 è un asintoto verticale. Vediamo ora, qual è il comportamento del grafico della funzione a sinistra e a destra dell'asintoto. Dallo studio del segno della funzione possiamo determinare che la funzione è negativa nell'intervallo [1/2; 1) e positiva negli intervalli (-∞ 1/2) e (1; +∞) questo significa che il limite sinistro per x che tende a 1 è negativo e il limite destro è positivo:
![]()
Il grafico della funzione intorno a x=1 ha quindi il seguente andamento:
![]()
Esempio2: cerchiamo, se esiste, l'asintoto verticale della funzione:
![]()
Il domino della funzione è l'insieme dei numeri reali positivi maggiori di zero:
D=(0; +∞)
Nell'intervallo c'è quindi un estremo finito che non appartiene all'insieme: x=0. Vediamo se per x che tende 0 se la funzione tende all'infinito:
![]()
Abbiamo cos í la conferma che la retta x=0 è un asintoto verticale. La funzione è sempre positiva e non è definita a sinistra della retta x=0, pertanto la retta x=0, cioè l'asse delle y, è un asintoto destro. Il grafico della funzione intorno a x=0 ha quindi il seguente andamento:
![]()
Ricerca di asintoti orizzontali
Come si può stabilire se il grafico di una funzione presenta un asintoto orizzontale? Bisogna, innanzitutto, guardare se l'insieme del dominio della funzione ha estremi infiniti e vedere se per x tendente all'infinito (-∞ o +∞) la funzione tende a un valore finito l:
![]()
In questo caso la retta di equazione y = l è un asintoto orizzontale.
![]()
A differenza degli asintoti verticali, che possono anche essere infiniti, il grafico di una funzione può avere al più solo due asintoti orizzontali diversi uno a +∞ e uno a -∞ come ad esempio la funzione arcotg x.
![]()
Esempio3: cerchiamo, se esiste, l'asintoto orizzontale della funzione:
![]()
Come sappiamo il domino della funzione è:
D=(-∞ 1)U(1; +∞)
Vediamo allora se per x che tende all'infinito se la funzione tende a un valore finito:
![]()
![]()
Abbiamo cosí la conferma che la retta y=2 è un asintoto orizzontale bilaterale.
![]()
Questa è la stessa funzione dell'esempio1 per cui il grafico di una funzione può avere sia asintoti verticali che un asintoto orizzontale.
Esempio4: cerchiamo, se esiste, l'asintoto orizzontale della funzione:
y = xex
Il domino della funzione è:
D=(-∞ +∞)
Vediamo allora se per x che tende a meno infinito o a più infinito se la funzione tende a un valore finito:
![]()
Si ha un asintoto orizzontale unilaterale e la retta y=0 è quindi un asintoto orizzontale sinistro della funzione.
![]()
Ricerca di asintoti obliqui
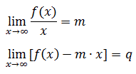
Come si può stabilire se il grafico di una funzione presenta un asintoto obliquo? Innanzitutto, bisogna vedere se la funzione tende a infinito per x tendente all'infinito e poi vedere se i due limiti
![]()
hanno rispettivamente valori m e q finiti con m≠0. In tal caso la retta y=mx+q è un asintoto obliquo della funzione.
Esempio5: cerchiamo, se esiste, l'asintoto obliquo della funzione:
![]()
Il dominio della funzione è l'insieme R tranne x=0; D=(-∞; 0)U(0; +∞). Studiamo il segno della funzione:
![]()
Quindi la funzione è negativa negli intervalli
(-∞; -2/√2] e (0; 2/√2]
è positiva negli intervalli
[-2/√2; 0) e [2/√2; +∞)
inoltre interseca l'asse delle x nei punti
(-2/√2; 0) e (2/√2; 0).
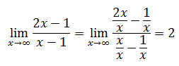
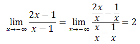
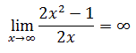
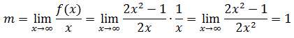
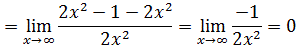
Determiniamo il limite all'infinito della funzione:
![]()
Essendo infinito il valore del limite possiamo verificare le altre due condizioni:
![]()
![]()
![]()
Quindi la retta y=x (bisettrice del primo e terzo quadrante) è l'asintoto obliquo del grafico della funzione. Se x tende a meno infinito la funzione assume valori negativi e quindi la curva si avvicina all'asintoto obliquo da sopra, se x tende a più infinito la funzione assume valori positivi e quindi la curva si avvicina all'asintoto obliquo da sotto.
![]()