Area di un triangolo in un rettangolo
   

Indietro

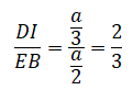
Indichiamo con a e con b le dimensioni del rettangolo e evidenziamo i due triangoli DGI e EBG con le relative altezze LG e GM.

I due triangoli DGI e EBG sono simili perchè hanno gli angoli corrispondenti congruenti e quindi possiamo scrivere.

Anche il rapporto tra le altezze LG e GM dei due triangoli è uguale a 2/3 e se indichiamo con x l'altezza GM allora LG è uguale ai 2/3 di x. Ora, essendo

LG + GM = b

Possiamo scrivere:

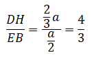
Anche i due triangoli DHF e EBF sono simili perchè hanno gli angoli corrispondenti congruenti

e quindi possiamo scrivere.

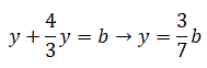
Anche il rapporto tra le altezze NF e OF dei due triangoli è uguale a 4/3 e se indichiamo con y l'altezza NF allora OF è uguale ai 4/3 di y. Ora, essendo

NF + OF = b

Possiamo scrivere:

Possiamo ora, determinare l'area del triangolo GEF come differenza tra i due triangoli GEB e EBF.

E essendo ab l'area del rettangolo che è uguale a 70 si ha: