Tre triangoli in un triangolo
   

Indietro

Inseriamo le lettere come si vede in figura.

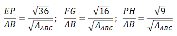
I triangoli ABC, EPD, FGP, PHI sono simili perchè avendo i lati corrispondenti paralleli hanno gli angoli corrispondenti congruenti. Pertanto, il rapporto tra lati corrispondenti è uguale al rapporto tra le radici quadrate delle corrispondenti aree.

Sommando membro a membro le tre uguaglianze si ottiene: